🇳🇴 🇬🇧 🇩🇪 🇨🇿 🇫🇮

Meteor über Charlottenlund 2023-09-06 22:33:45 UTC

KML-Datei  |  Interaktive Karte

Die Karte zeigt die Peilungen für den Meteor. Die helleren Linien zeigen die Richtungen von den Beobachtungsorten beim Erscheinen des Meteors, und die dunkleren Linien, wo er zuletzt gesehen wurde. Der blaue Pfeil zeigt die sichtbare Bahn des Meteors.

static map
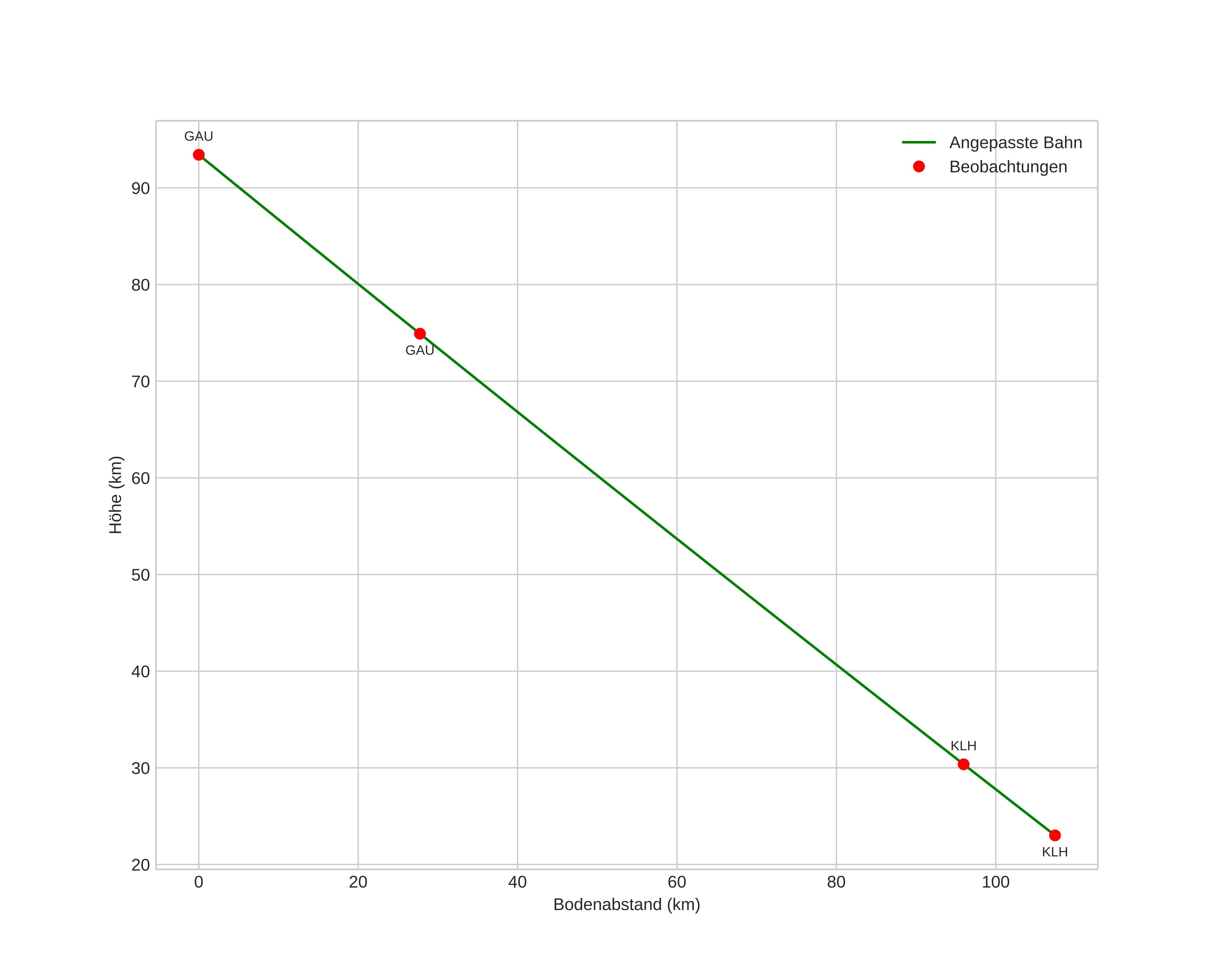
height profile
Atmosphärische Bahn des Meteors:
Anfangshöhe: 111,1 km
Endhöhe: 93,9 km
Startposition: 55,749N 12,942E
Endposition: 55,782N 12,613E
Richtung: 280,4°
Neigungswinkel: 39,4°
Eintrittsgeschwindigkeit: 81,2 km/s
Rektaszension des Radianten: 02:19 (34,8°)
Deklination des Radianten: 26,2°
Meteorstrom: sporadisch
Bahnelemente des Meteoroiden:
Periheldistanz: 0,592 AU
Exzentrizität: 2,113
Inklination: 156,2°
Länge des aufsteigenden Knotens: 163,8°
Argument des Perihels: 246,9°
Mittlere Anomalie: -65,5°
Epoche: 2023 SEP 06 22:33:45
orbit plot

Nicht-interaktives Diagramm | Interaktives Diagramm

position vs time
speed and acceleration