🇳🇴 🇬🇧 🇩🇪 🇨🇿 🇫🇮

Meteor, poloha: Tromsø 2023-10-27 20:11:14 UTC

Soubor KML  |  InteraktivnĂ­ mapa

Mapa zobrazuje dráhy meteoru. Světlejší čáry ukazují směry od pozorovacích stanic při objevení se meteoru a tmavší čáry, kde byl naposledy viděn. Modrá šipka značí viditelnou dráhu meteoru.

static map
height profile
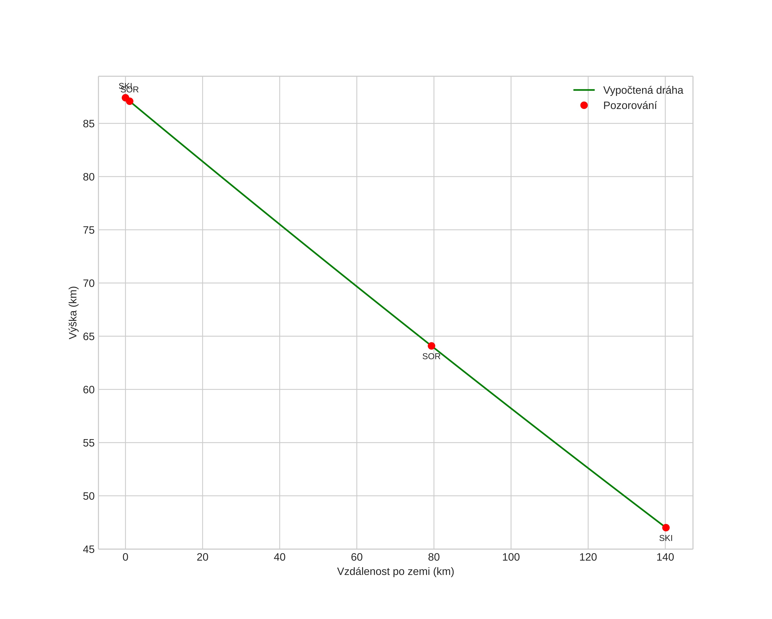
Atmosférická dráha meteoru:
Počáteční výška: 87,1 km
Konečná výška: 46,4 km
Počáteční poloha: 71,453N 19,867E
Konečná poloha: 72,411N 17,328E
Směr: 321,8°
Sklon: 16,5°
VstupnĂ­ rychlost: 26,0 km/s
Rektascenze radiantu: 02:20 (35,2°)
Deklinace radiantu: -2,7°
MeteorickĂ˝ roj: sporadickĂ˝
Elementy dráhy meteoroidu:
Vzdálenost v periheliu: 0,603 AU
Excentricita: 0,811
Sklon dráhy: 11,7°
Délka vzestupného uzlu: 33,8°
Argument perihelia: 83,0°
Střední anomálie: 352,7°
Epocha: 2023 OCT 27 20:11:14
orbit plot

NeinteraktivnĂ­ graf | InteraktivnĂ­ graf

position vs time
speed and acceleration