🇳🇴 🇬🇧 🇩🇪 🇨🇿 🇫🇮

Meteor Tromsøin yllä 2023-10-27 20:11:14 UTC

KML-tiedosto  |  Interaktiivinen kartta

Kartta näyttää meteorin suuntahavainnot. Vaaleammat viivat näyttävät suunnat havaintoasemilta meteorin ilmestyessä, ja tummemmat viivat näyttävät, missä se viimeksi nähtiin. Sininen nuoli näyttää meteorin näkyvän lennon.

static map
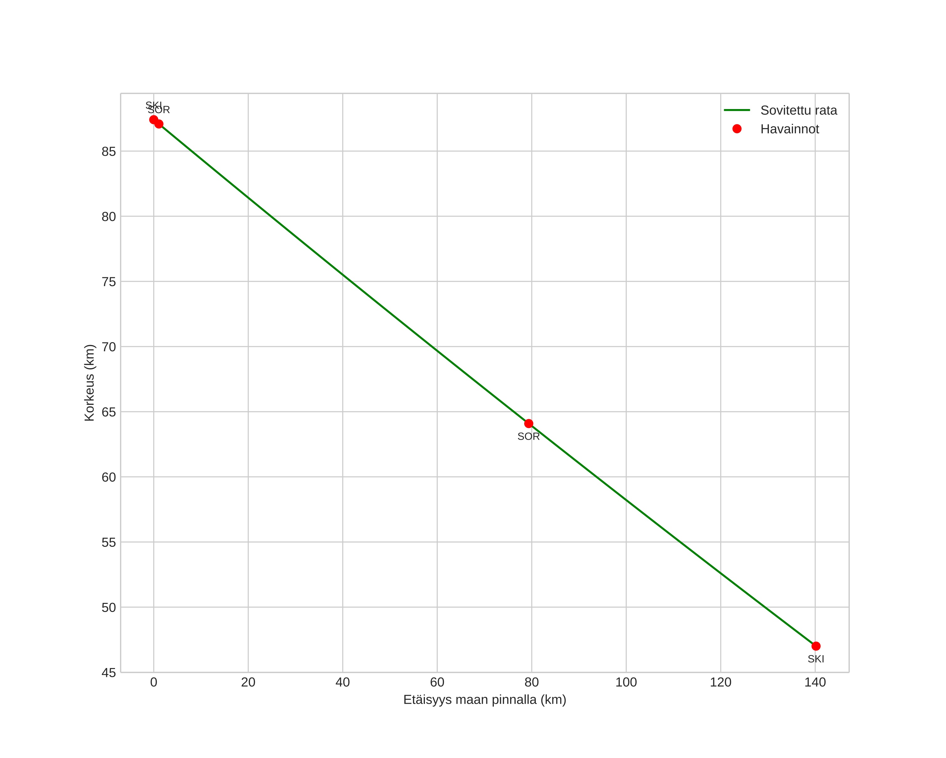
height profile
Meteorin ilmakehärata:
Alkukorkeus: 87,1 km
Loppukorkeus: 46,4 km
Alkupiste: 71,453N 19,867E
Loppupiste: 72,411N 17,328E
Suunta: 321,8°
Kallistuskulma: 16,5°
Tulonopeus: 26,0 km/s
Radiantin R,A,: 02:20 (35,2°)
Radiantin Dekl,: -2,7°
Meteoriparvi: Sporadinen
Meteoroidin rataelementit:
Perihelietäisyys: 0,603 AU
Eksentrisyys: 0,811
Inklinaatio: 11,7°
Nousevan solmun pituus: 33,8°
Perihelin argumentti: 83,0°
Keskianomalia: 352,7°
Epookki: 2023 OCT 27 20:11:14
orbit plot

Ei-interaktiivinen kuvaaja | Interaktiivinen kuvaaja

position vs time
speed and acceleration