🇳🇴 🇬🇧 🇩🇪 🇨🇿 🇫🇮

Meteor über Tromsø 2023-10-27 20:11:14 UTC

KML-Datei  |  Interaktive Karte

Die Karte zeigt die Peilungen für den Meteor. Die helleren Linien zeigen die Richtungen von den Beobachtungsorten beim Erscheinen des Meteors, und die dunkleren Linien, wo er zuletzt gesehen wurde. Der blaue Pfeil zeigt die sichtbare Bahn des Meteors.

static map
height profile
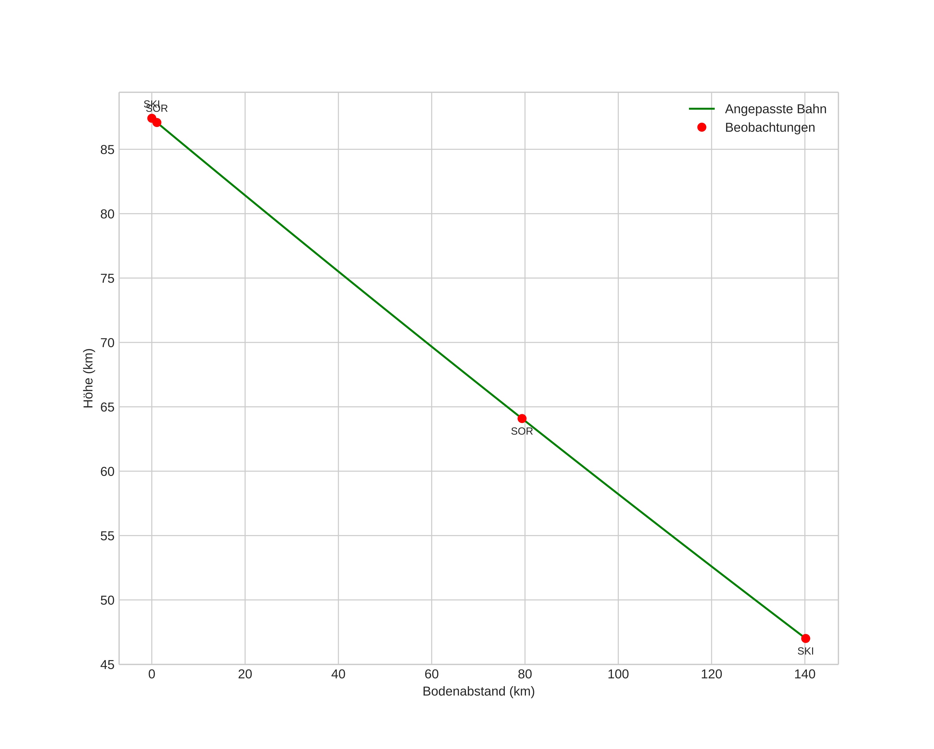
Atmosphärische Bahn des Meteors:
Anfangshöhe: 87,1 km
Endhöhe: 46,4 km
Startposition: 71,453N 19,867E
Endposition: 72,411N 17,328E
Richtung: 321,8°
Neigungswinkel: 16,5°
Eintrittsgeschwindigkeit: 26,0 km/s
Rektaszension des Radianten: 02:20 (35,2°)
Deklination des Radianten: -2,7°
Meteorstrom: sporadisch
Bahnelemente des Meteoroiden:
Periheldistanz: 0,603 AU
Exzentrizität: 0,811
Inklination: 11,7°
Länge des aufsteigenden Knotens: 33,8°
Argument des Perihels: 83,0°
Mittlere Anomalie: 352,7°
Epoche: 2023 OCT 27 20:11:14
orbit plot

Nicht-interaktives Diagramm | Interaktives Diagramm

position vs time
speed and acceleration