🇳🇴 🇬🇧 🇩🇪 🇨🇿 🇫🇮

Meteor, poloha: Myre 2023-11-01 20:36:17 UTC

Soubor KML  |  InteraktivnĂ­ mapa

Mapa zobrazuje dráhy meteoru. Světlejší čáry ukazují směry od pozorovacích stanic při objevení se meteoru a tmavší čáry, kde byl naposledy viděn. Modrá šipka značí viditelnou dráhu meteoru.

static map
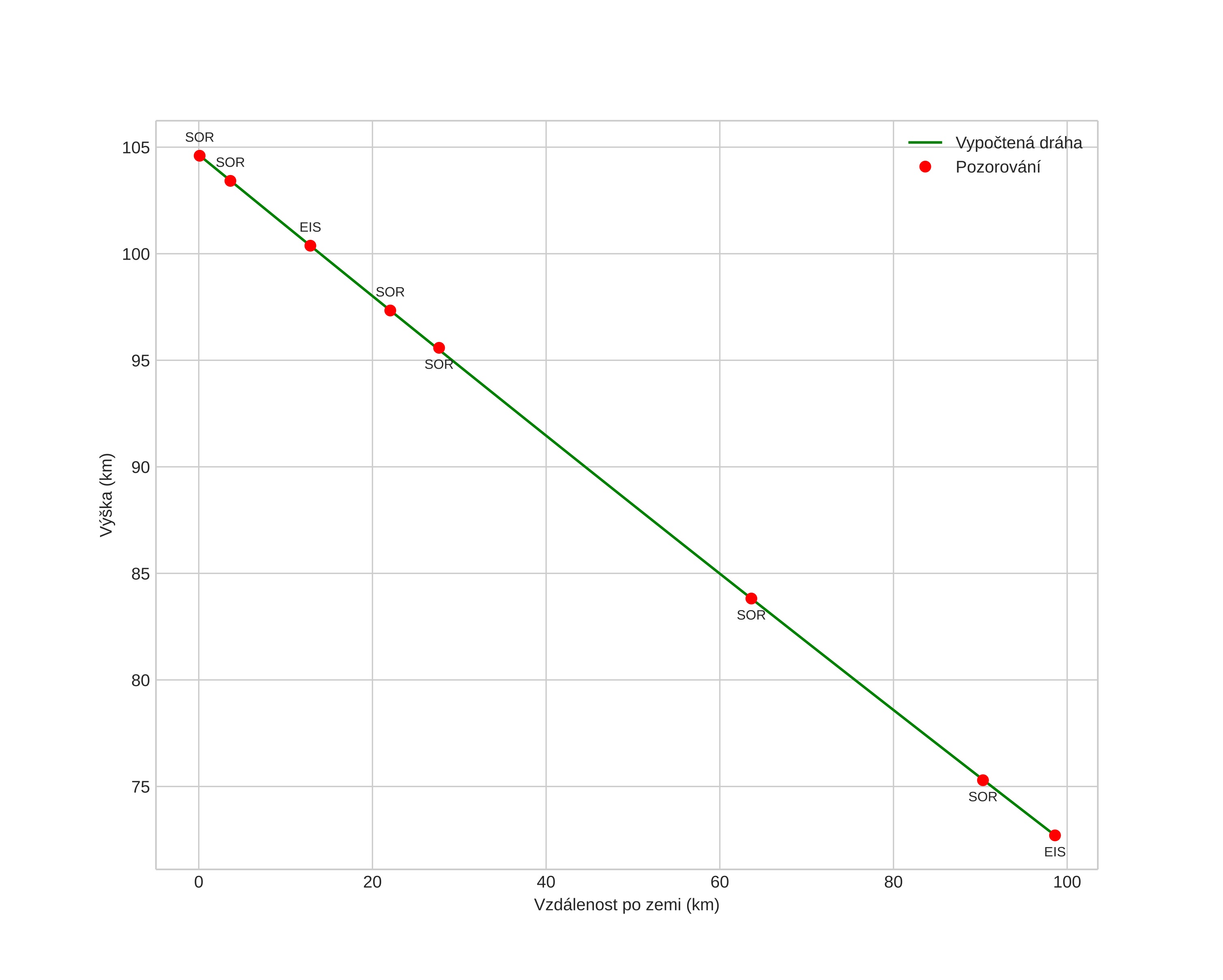
height profile
Atmosférická dráha meteoru:
Počáteční výška: 101,9 km
Konečná výška: 76,0 km
Počáteční poloha: 69,055N 16,414E
Konečná poloha: 69,583N 14,593E
Směr: 310,3°
Sklon: 15,6°
VstupnĂ­ rychlost: 34,1 km/s
Rektascenze radiantu: 03:35 (53,8°)
Deklinace radiantu: -0,8°
MeteorickĂ˝ roj: sporadickĂ˝
Elementy dráhy meteoroidu:
Vzdálenost v periheliu: 0,389 AU
Excentricita: 0,904
Sklon dráhy: 24,4°
Délka vzestupného uzlu: 38,8°
Argument perihelia: 106,3°
Střední anomálie: 355,1°
Epocha: 2023 NOV 01 20:36:17
orbit plot

NeinteraktivnĂ­ graf | InteraktivnĂ­ graf

position vs time
speed and acceleration