🇳🇴 🇬🇧 🇩🇪 🇨🇿 🇫🇮

Meteor Myren yllä 2023-11-01 20:36:17 UTC

KML-tiedosto  |  Interaktiivinen kartta

Kartta näyttää meteorin suuntahavainnot. Vaaleammat viivat näyttävät suunnat havaintoasemilta meteorin ilmestyessä, ja tummemmat viivat näyttävät, missä se viimeksi nähtiin. Sininen nuoli näyttää meteorin näkyvän lennon.

static map
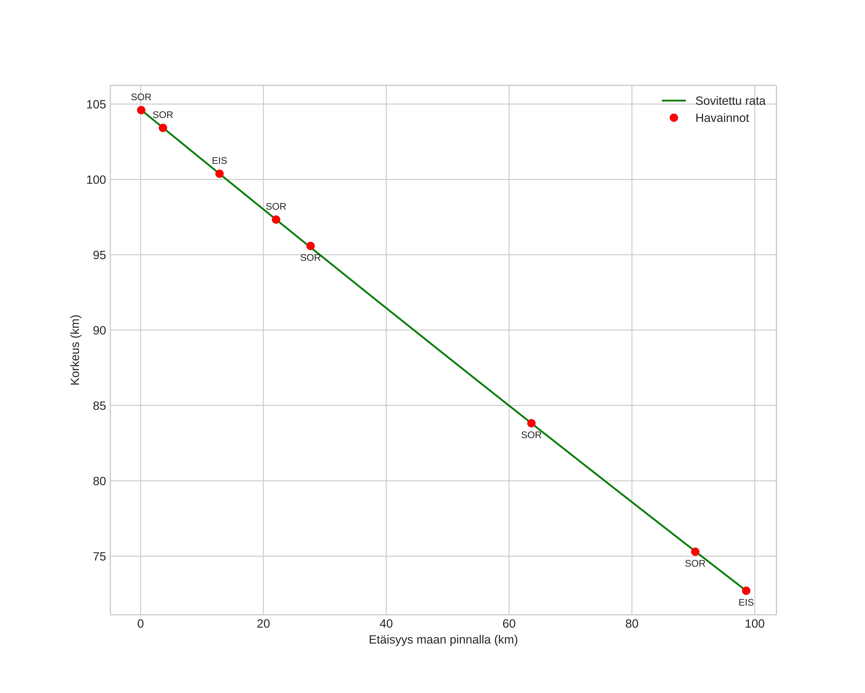
height profile
Meteorin ilmakehärata:
Alkukorkeus: 101,9 km
Loppukorkeus: 76,0 km
Alkupiste: 69,055N 16,414E
Loppupiste: 69,583N 14,593E
Suunta: 310,3°
Kallistuskulma: 15,6°
Tulonopeus: 34,1 km/s
Radiantin R,A,: 03:35 (53,8°)
Radiantin Dekl,: -0,8°
Meteoriparvi: Sporadinen
Meteoroidin rataelementit:
Perihelietäisyys: 0,389 AU
Eksentrisyys: 0,904
Inklinaatio: 24,4°
Nousevan solmun pituus: 38,8°
Perihelin argumentti: 106,3°
Keskianomalia: 355,1°
Epookki: 2023 NOV 01 20:36:17
orbit plot

Ei-interaktiivinen kuvaaja | Interaktiivinen kuvaaja

position vs time
speed and acceleration