🇳🇴 🇬🇧 🇩🇪 🇨🇿 🇫🇮

Meteor über Myre 2023-11-01 20:36:17 UTC

KML-Datei  |  Interaktive Karte

Die Karte zeigt die Peilungen für den Meteor. Die helleren Linien zeigen die Richtungen von den Beobachtungsorten beim Erscheinen des Meteors, und die dunkleren Linien, wo er zuletzt gesehen wurde. Der blaue Pfeil zeigt die sichtbare Bahn des Meteors.

static map
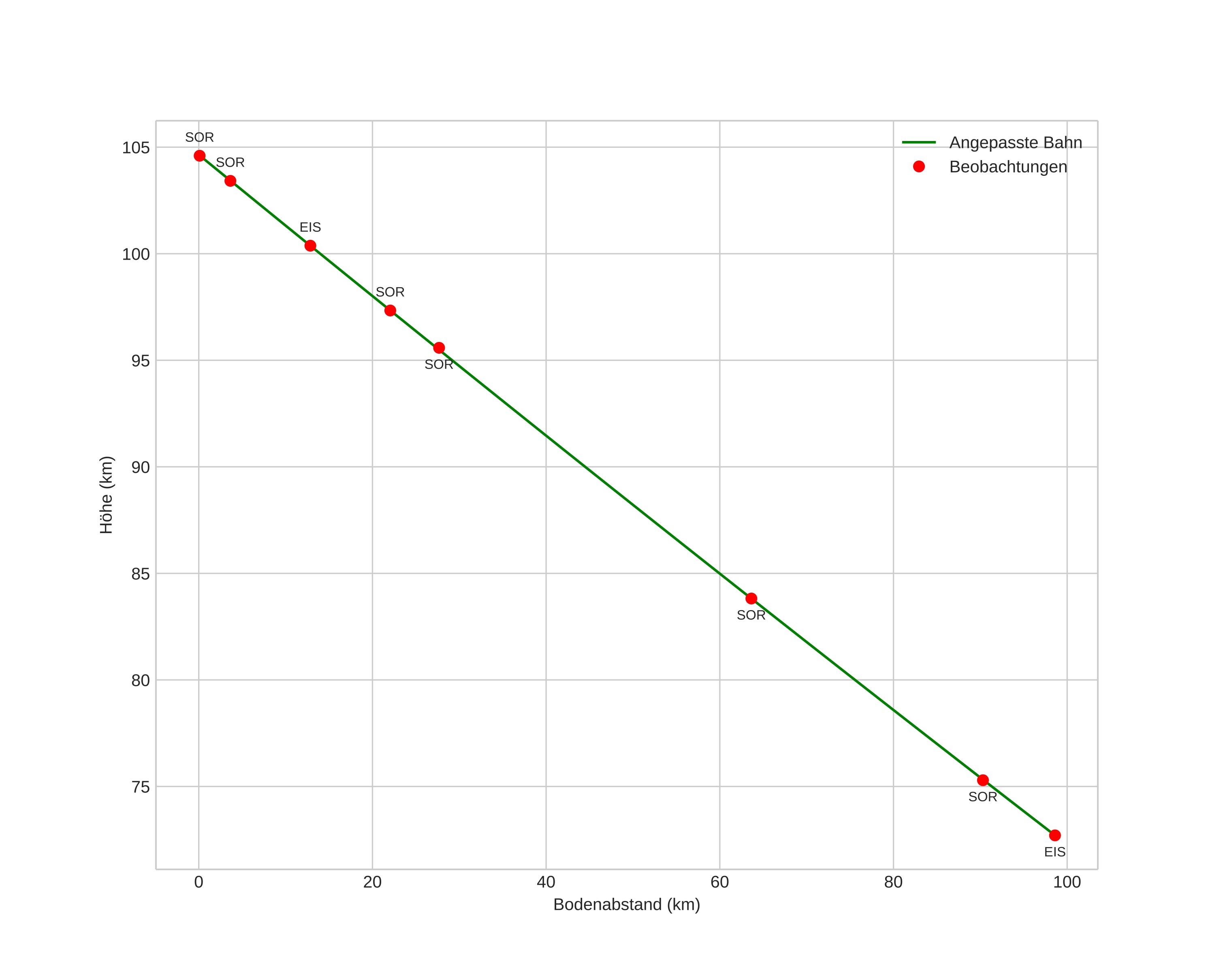
height profile
Atmosphärische Bahn des Meteors:
Anfangshöhe: 101,9 km
Endhöhe: 76,0 km
Startposition: 69,055N 16,414E
Endposition: 69,583N 14,593E
Richtung: 310,3°
Neigungswinkel: 15,6°
Eintrittsgeschwindigkeit: 34,1 km/s
Rektaszension des Radianten: 03:35 (53,8°)
Deklination des Radianten: -0,8°
Meteorstrom: sporadisch
Bahnelemente des Meteoroiden:
Periheldistanz: 0,389 AU
Exzentrizität: 0,904
Inklination: 24,4°
Länge des aufsteigenden Knotens: 38,8°
Argument des Perihels: 106,3°
Mittlere Anomalie: 355,1°
Epoche: 2023 NOV 01 20:36:17
orbit plot

Nicht-interaktives Diagramm | Interaktives Diagramm

position vs time
speed and acceleration