🇳🇴 🇬🇧 🇩🇪 🇨🇿 🇫🇮

Meteor, poloha: Burfjord 2023-11-11 21:18:33 UTC

Soubor KML  |  InteraktivnĂ­ mapa

Mapa zobrazuje dráhy meteoru. Světlejší čáry ukazují směry od pozorovacích stanic při objevení se meteoru a tmavší čáry, kde byl naposledy viděn. Modrá šipka značí viditelnou dráhu meteoru.

static map
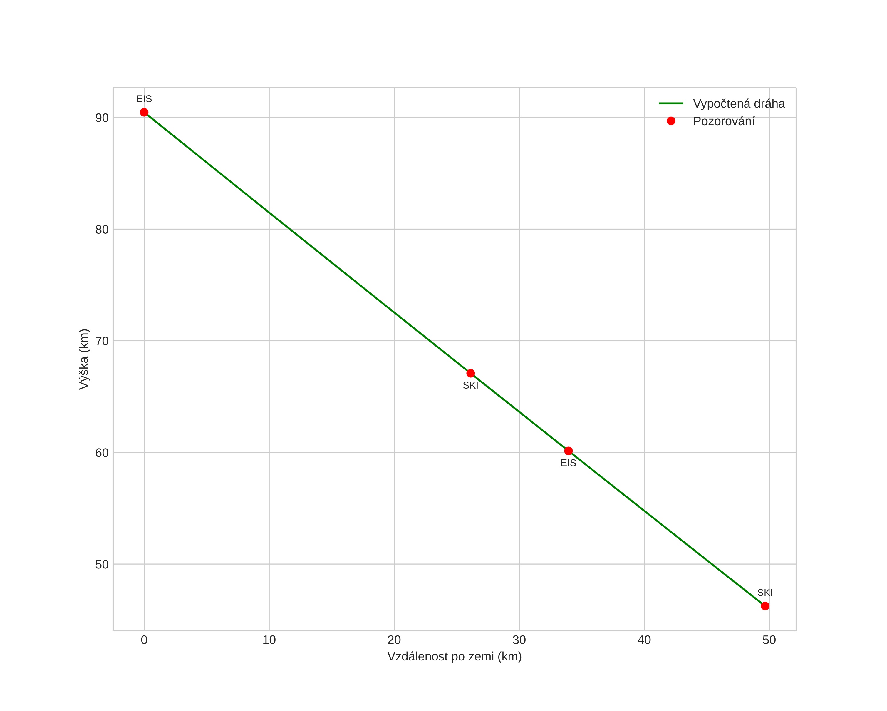
height profile
Atmosférická dráha meteoru:
Počáteční výška: 90,6 km
Konečná výška: 45,9 km
Počáteční poloha: 69,444N 22,720E
Konečná poloha: 69,854N 22,219E
Směr: 337,2°
Sklon: 42,1°
VstupnĂ­ rychlost: 25,3 km/s
Rektascenze radiantu: 03:23 (50,9°)
Deklinace radiantu: 20,0°
MeteorickĂ˝ roj: JiĹľnĂ­ Tauridy
Elementy dráhy meteoroidu:
Vzdálenost v periheliu: 0,508 AU
Excentricita: 0,732
Sklon dráhy: 1,1°
Délka vzestupného uzlu: 228,8°
Argument perihelia: 278,8°
Střední anomálie: 342,5°
Epocha: 2023 NOV 11 21:18:33
orbit plot

NeinteraktivnĂ­ graf | InteraktivnĂ­ graf

position vs time
speed and acceleration