🇳🇴 🇬🇧 🇩🇪 🇨🇿 🇫🇮

Meteor Burfjordin yllä 2023-11-11 21:18:33 UTC

KML-tiedosto  |  Interaktiivinen kartta

Kartta näyttää meteorin suuntahavainnot. Vaaleammat viivat näyttävät suunnat havaintoasemilta meteorin ilmestyessä, ja tummemmat viivat näyttävät, missä se viimeksi nähtiin. Sininen nuoli näyttää meteorin näkyvän lennon.

static map
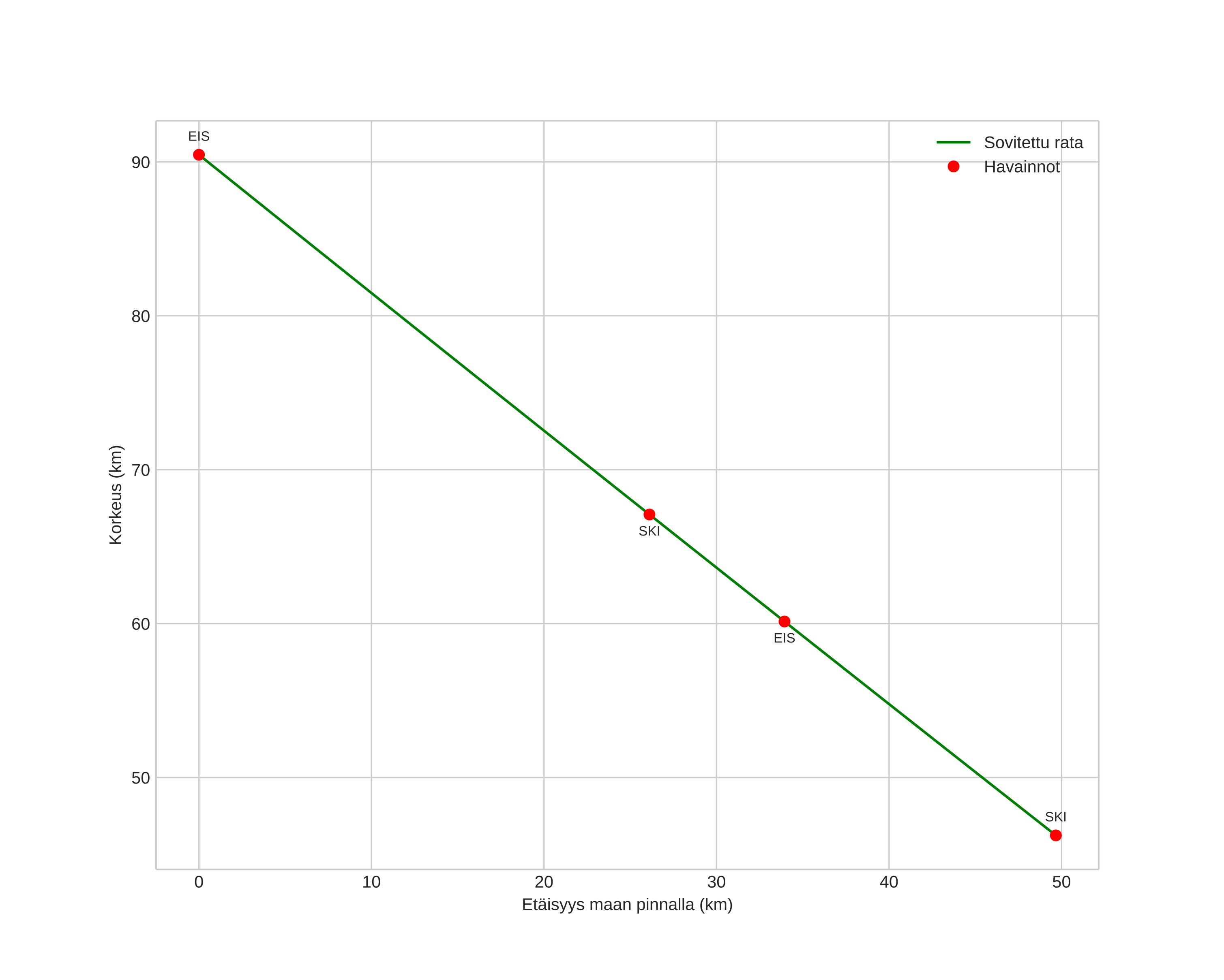
height profile
Meteorin ilmakehärata:
Alkukorkeus: 90,6 km
Loppukorkeus: 45,9 km
Alkupiste: 69,444N 22,720E
Loppupiste: 69,854N 22,219E
Suunta: 337,2°
Kallistuskulma: 42,1°
Tulonopeus: 25,3 km/s
Radiantin R,A,: 03:23 (50,9°)
Radiantin Dekl,: 20,0°
Meteoriparvi: Eteläiset tauridit
Meteoroidin rataelementit:
Perihelietäisyys: 0,508 AU
Eksentrisyys: 0,732
Inklinaatio: 1,1°
Nousevan solmun pituus: 228,8°
Perihelin argumentti: 278,8°
Keskianomalia: 342,5°
Epookki: 2023 NOV 11 21:18:33
orbit plot

Ei-interaktiivinen kuvaaja | Interaktiivinen kuvaaja

position vs time
speed and acceleration