🇳🇴 🇬🇧 🇩🇪 🇨🇿 🇫🇮

Meteor über Burfjord 2023-11-11 21:18:33 UTC

KML-Datei  |  Interaktive Karte

Die Karte zeigt die Peilungen für den Meteor. Die helleren Linien zeigen die Richtungen von den Beobachtungsorten beim Erscheinen des Meteors, und die dunkleren Linien, wo er zuletzt gesehen wurde. Der blaue Pfeil zeigt die sichtbare Bahn des Meteors.

static map
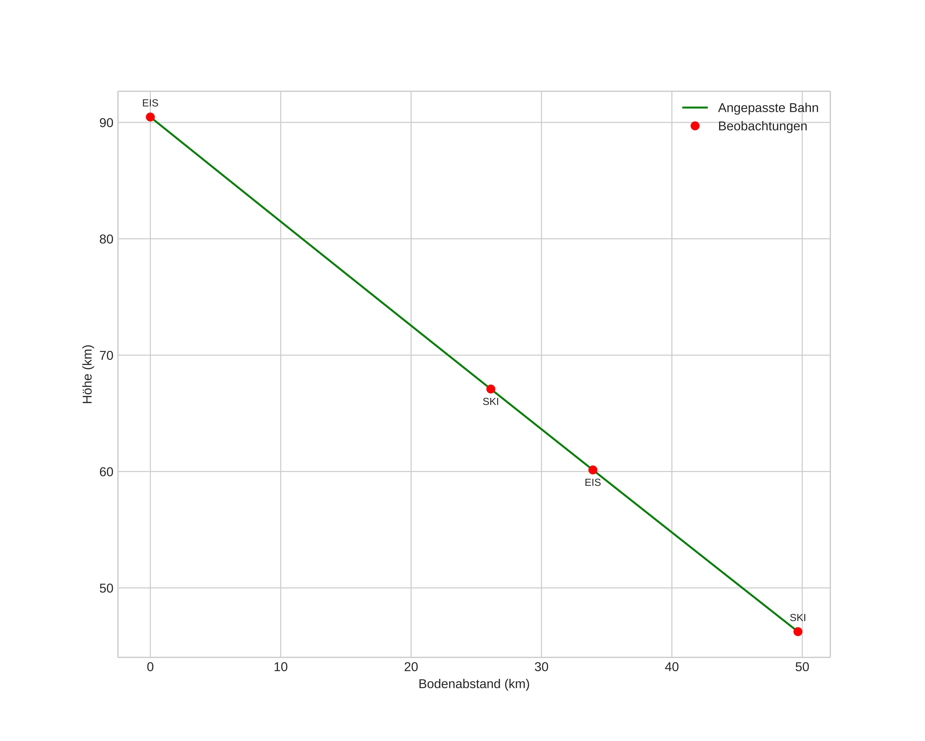
height profile
Atmosphärische Bahn des Meteors:
Anfangshöhe: 90,6 km
Endhöhe: 45,9 km
Startposition: 69,444N 22,720E
Endposition: 69,854N 22,219E
Richtung: 337,2°
Neigungswinkel: 42,1°
Eintrittsgeschwindigkeit: 25,3 km/s
Rektaszension des Radianten: 03:23 (50,9°)
Deklination des Radianten: 20,0°
Meteorstrom: Südliche Tauriden
Bahnelemente des Meteoroiden:
Periheldistanz: 0,508 AU
Exzentrizität: 0,732
Inklination: 1,1°
Länge des aufsteigenden Knotens: 228,8°
Argument des Perihels: 278,8°
Mittlere Anomalie: 342,5°
Epoche: 2023 NOV 11 21:18:33
orbit plot

Nicht-interaktives Diagramm | Interaktives Diagramm

position vs time
speed and acceleration