🇳🇴 🇬🇧 🇩🇪 🇨🇿 🇫🇮

Meteor, poloha: Myre 2023-11-13 22:52:39 UTC

Soubor KML  |  InteraktivnĂ­ mapa

Mapa zobrazuje dráhy meteoru. Světlejší čáry ukazují směry od pozorovacích stanic při objevení se meteoru a tmavší čáry, kde byl naposledy viděn. Modrá šipka značí viditelnou dráhu meteoru.

static map
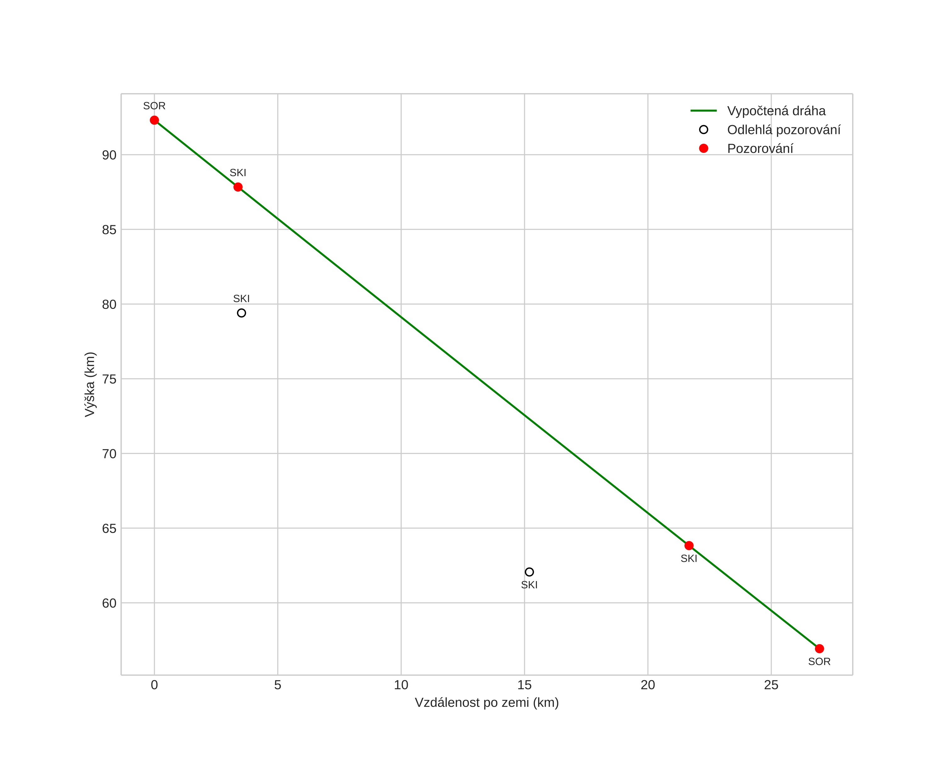
height profile
Atmosférická dráha meteoru:
Počáteční výška: 92,6 km
Konečná výška: 55,2 km
Počáteční poloha: 70,111N 14,610E
Konečná poloha: 69,877N 14,973E
Směr: 151,9°
Sklon: 51,8°
VstupnĂ­ rychlost: 28,1 km/s
Rektascenze radiantu: 18:37 (279,3°)
Deklinace radiantu: 65,8°
MeteorickĂ˝ roj: sporadickĂ˝
Elementy dráhy meteoroidu:
Vzdálenost v periheliu: 0,988 AU
Excentricita: 0,854
Sklon dráhy: 39,2°
Délka vzestupného uzlu: 231,0°
Argument perihelia: 184,0°
Střední anomálie: 359,8°
Epocha: 2023 NOV 13 22:52:39
orbit plot

NeinteraktivnĂ­ graf | InteraktivnĂ­ graf

position vs time
speed and acceleration

Skibotn (SKI) cam3

gnomonic
Videa
• Původní
Obrázky
• Původní
Textové soubory
• Detekce
• Pozorování
• Souřadnice
• Chybová hlášení
• Protokol
Jasnost