🇳🇴 🇬🇧 🇩🇪 🇨🇿 🇫🇮

Meteor über Myre 2023-11-13 22:52:39 UTC

KML-Datei  |  Interaktive Karte

Die Karte zeigt die Peilungen für den Meteor. Die helleren Linien zeigen die Richtungen von den Beobachtungsorten beim Erscheinen des Meteors, und die dunkleren Linien, wo er zuletzt gesehen wurde. Der blaue Pfeil zeigt die sichtbare Bahn des Meteors.

static map
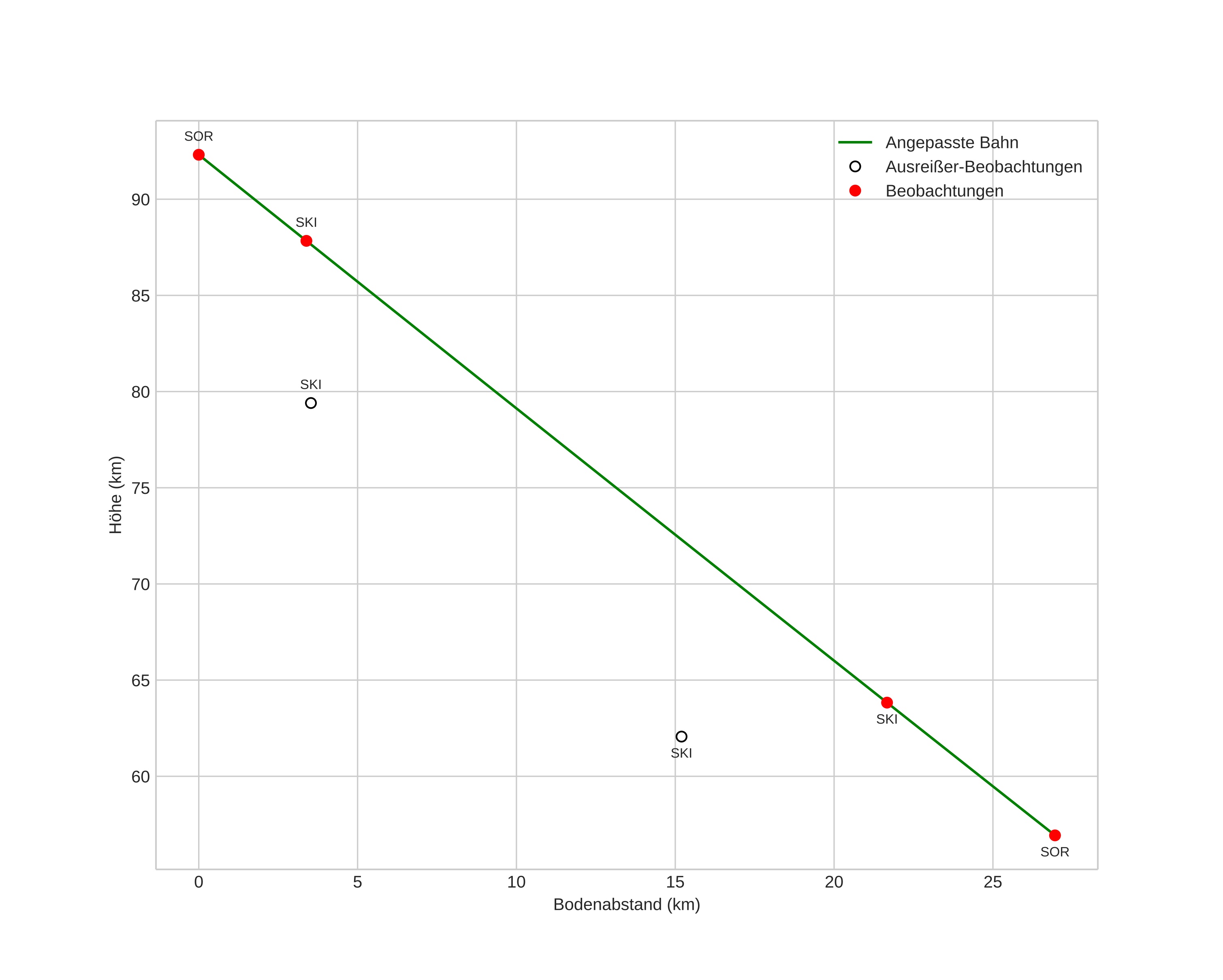
height profile
Atmosphärische Bahn des Meteors:
Anfangshöhe: 92,6 km
Endhöhe: 55,2 km
Startposition: 70,111N 14,610E
Endposition: 69,877N 14,973E
Richtung: 151,9°
Neigungswinkel: 51,8°
Eintrittsgeschwindigkeit: 28,1 km/s
Rektaszension des Radianten: 18:37 (279,3°)
Deklination des Radianten: 65,8°
Meteorstrom: sporadisch
Bahnelemente des Meteoroiden:
Periheldistanz: 0,988 AU
Exzentrizität: 0,854
Inklination: 39,2°
Länge des aufsteigenden Knotens: 231,0°
Argument des Perihels: 184,0°
Mittlere Anomalie: 359,8°
Epoche: 2023 NOV 13 22:52:39
orbit plot

Nicht-interaktives Diagramm | Interaktives Diagramm

position vs time
speed and acceleration

Skibotn (SKI) cam3

gnomonic
Videos
• Original
Bilder
• Original
Textdateien
• Erkennung
• Beobachtung
• Koordinaten
• Fehlermeldungen
• Protokoll
Helligkeit