🇳🇴 🇬🇧 🇩🇪 🇨🇿 🇫🇮

Meteor Myren yllä 2023-11-13 22:52:39 UTC

KML-tiedosto  |  Interaktiivinen kartta

Kartta näyttää meteorin suuntahavainnot. Vaaleammat viivat näyttävät suunnat havaintoasemilta meteorin ilmestyessä, ja tummemmat viivat näyttävät, missä se viimeksi nähtiin. Sininen nuoli näyttää meteorin näkyvän lennon.

static map
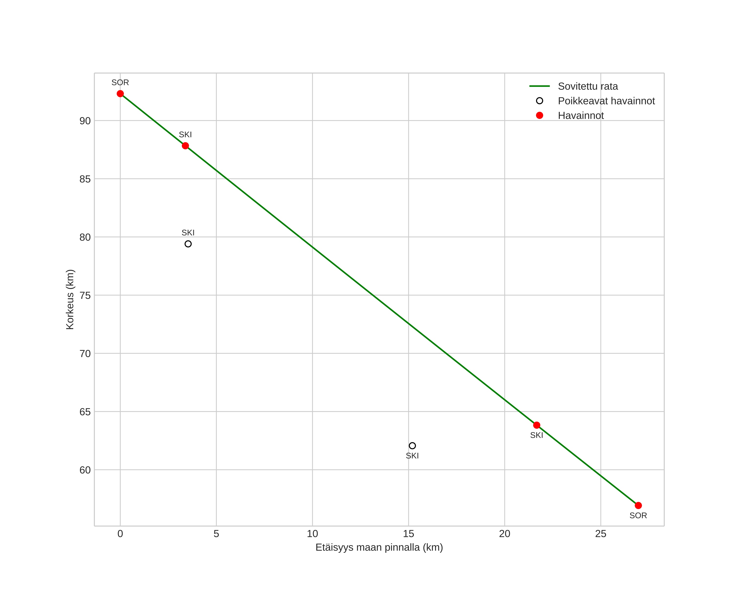
height profile
Meteorin ilmakehärata:
Alkukorkeus: 92,6 km
Loppukorkeus: 55,2 km
Alkupiste: 70,111N 14,610E
Loppupiste: 69,877N 14,973E
Suunta: 151,9°
Kallistuskulma: 51,8°
Tulonopeus: 28,1 km/s
Radiantin R,A,: 18:37 (279,3°)
Radiantin Dekl,: 65,8°
Meteoriparvi: Sporadinen
Meteoroidin rataelementit:
Perihelietäisyys: 0,988 AU
Eksentrisyys: 0,854
Inklinaatio: 39,2°
Nousevan solmun pituus: 231,0°
Perihelin argumentti: 184,0°
Keskianomalia: 359,8°
Epookki: 2023 NOV 13 22:52:39
orbit plot

Ei-interaktiivinen kuvaaja | Interaktiivinen kuvaaja

position vs time
speed and acceleration

Skibotn (SKI) cam3

gnomonic
Videot:
• Alkuperäinen
Kuvat:
• Alkuperäinen
Tekstitiedostot:
• Havaintoraportti
• Observaatio
• Koordinaatit
• Virheilmoitukset
• Loki
Kirkkaus