🇳🇴 🇬🇧 🇩🇪 🇨🇿 🇫🇮

Meteor, poloha: HenĂĄn 2023-11-18 04:55:11 UTC

Soubor KML  |  InteraktivnĂ­ mapa

Mapa zobrazuje dráhy meteoru. Světlejší čáry ukazují směry od pozorovacích stanic při objevení se meteoru a tmavší čáry, kde byl naposledy viděn. Modrá šipka značí viditelnou dráhu meteoru.

static map
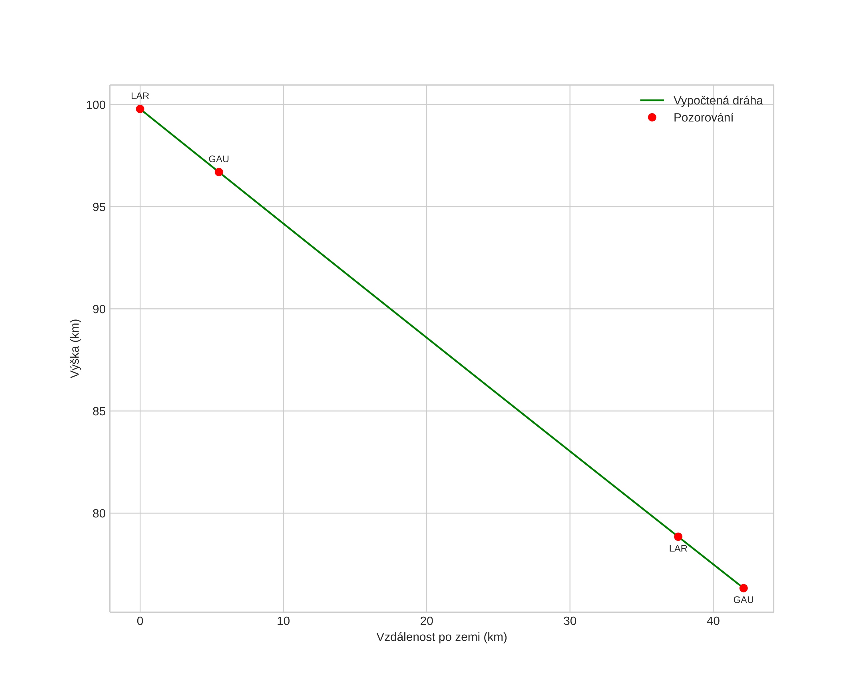
height profile
Atmosférická dráha meteoru:
Počáteční výška: 99,9 km
Konečná výška: 78,8 km
Počáteční poloha: 58,283N 11,056E
Konečná poloha: 58,261N 11,696E
Směr: 93,3°
Sklon: 29,4°
VstupnĂ­ rychlost: 29,6 km/s
Rektascenze radiantu: 04:14 (63,6°)
Deklinace radiantu: 24,0°
MeteorickĂ˝ roj: SevernĂ­ Tauridy
Elementy dráhy meteoroidu:
Vzdálenost v periheliu: 0,378 AU
Excentricita: 0,824
Sklon dráhy: 3,0°
Délka vzestupného uzlu: 235,2°
Argument perihelia: 291,6°
Střední anomálie: 346,6°
Epocha: 2023 NOV 18 04:55:11
orbit plot

NeinteraktivnĂ­ graf | InteraktivnĂ­ graf

position vs time
speed and acceleration