🇳🇴 🇬🇧 🇩🇪 🇨🇿 🇫🇮

Meteor über Henån 2023-11-18 04:55:11 UTC

KML-Datei  |  Interaktive Karte

Die Karte zeigt die Peilungen für den Meteor. Die helleren Linien zeigen die Richtungen von den Beobachtungsorten beim Erscheinen des Meteors, und die dunkleren Linien, wo er zuletzt gesehen wurde. Der blaue Pfeil zeigt die sichtbare Bahn des Meteors.

static map
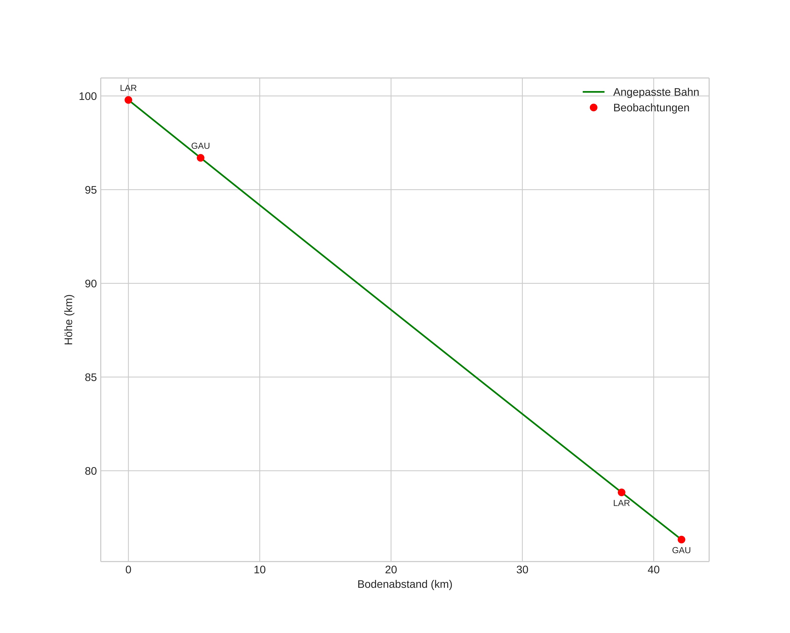
height profile
Atmosphärische Bahn des Meteors:
Anfangshöhe: 99,9 km
Endhöhe: 78,8 km
Startposition: 58,283N 11,056E
Endposition: 58,261N 11,696E
Richtung: 93,3°
Neigungswinkel: 29,4°
Eintrittsgeschwindigkeit: 29,6 km/s
Rektaszension des Radianten: 04:14 (63,6°)
Deklination des Radianten: 24,0°
Meteorstrom: Nördliche Tauriden
Bahnelemente des Meteoroiden:
Periheldistanz: 0,378 AU
Exzentrizität: 0,824
Inklination: 3,0°
Länge des aufsteigenden Knotens: 235,2°
Argument des Perihels: 291,6°
Mittlere Anomalie: 346,6°
Epoche: 2023 NOV 18 04:55:11
orbit plot

Nicht-interaktives Diagramm | Interaktives Diagramm

position vs time
speed and acceleration