🇳🇴 🇬🇧 🇩🇪 🇨🇿 🇫🇮

Meteor Henånin yllä 2023-11-18 04:55:11 UTC

KML-tiedosto  |  Interaktiivinen kartta

Kartta näyttää meteorin suuntahavainnot. Vaaleammat viivat näyttävät suunnat havaintoasemilta meteorin ilmestyessä, ja tummemmat viivat näyttävät, missä se viimeksi nähtiin. Sininen nuoli näyttää meteorin näkyvän lennon.

static map
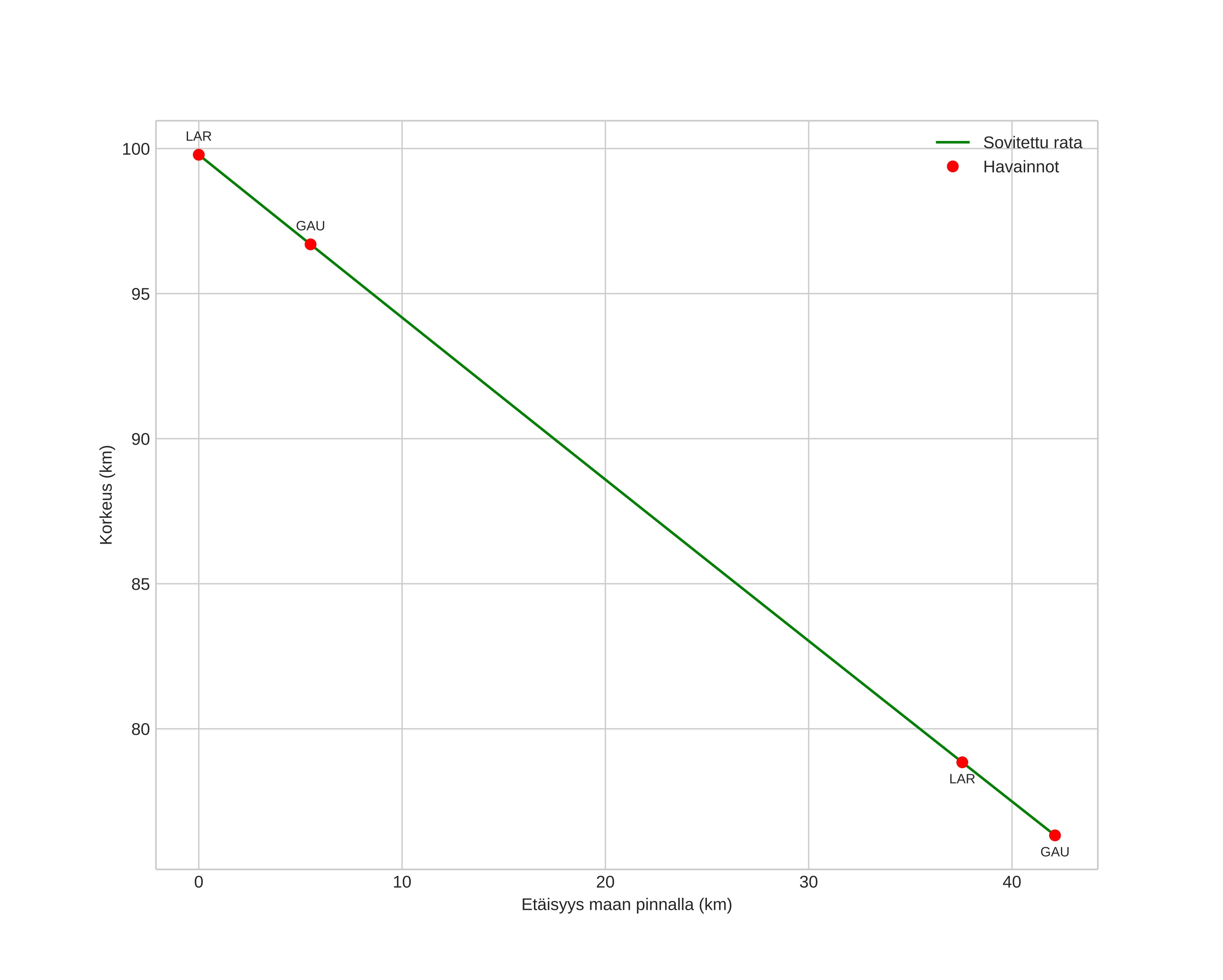
height profile
Meteorin ilmakehärata:
Alkukorkeus: 99,9 km
Loppukorkeus: 78,8 km
Alkupiste: 58,283N 11,056E
Loppupiste: 58,261N 11,696E
Suunta: 93,3°
Kallistuskulma: 29,4°
Tulonopeus: 29,6 km/s
Radiantin R,A,: 04:14 (63,6°)
Radiantin Dekl,: 24,0°
Meteoriparvi: Pohjoiset tauridit
Meteoroidin rataelementit:
Perihelietäisyys: 0,378 AU
Eksentrisyys: 0,824
Inklinaatio: 3,0°
Nousevan solmun pituus: 235,2°
Perihelin argumentti: 291,6°
Keskianomalia: 346,6°
Epookki: 2023 NOV 18 04:55:11
orbit plot

Ei-interaktiivinen kuvaaja | Interaktiivinen kuvaaja

position vs time
speed and acceleration