🇳🇴 🇬🇧 🇩🇪 🇨🇿 🇫🇮

Meteor, poloha: Kautokeino 2023-11-23 05:04:45 UTC

Soubor KML  |  InteraktivnĂ­ mapa

Mapa zobrazuje dráhy meteoru. Světlejší čáry ukazují směry od pozorovacích stanic při objevení se meteoru a tmavší čáry, kde byl naposledy viděn. Modrá šipka značí viditelnou dráhu meteoru.

static map
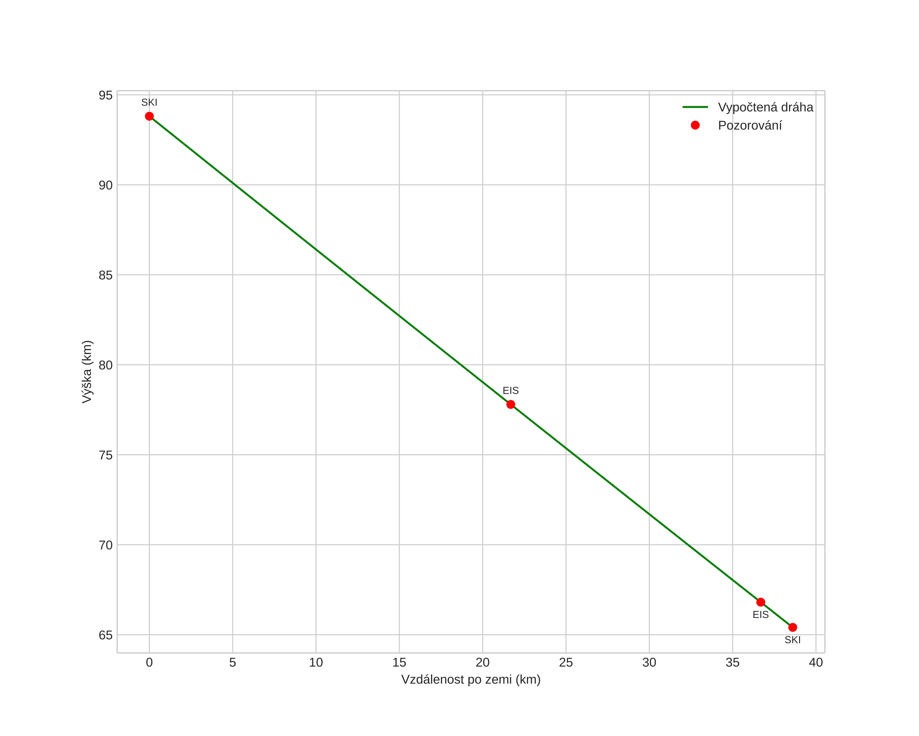
height profile
Atmosférická dráha meteoru:
Počáteční výška: 95,5 km
Konečná výška: 65,2 km
Počáteční poloha: 69,260N 21,513E
Konečná poloha: 69,242N 22,470E
Směr: 92,5°
Sklon: 38,8°
VstupnĂ­ rychlost: 40,6 km/s
Rektascenze radiantu: 05:29 (82,3°)
Deklinace radiantu: 35,6°
MeteorickĂ˝ roj: sporadickĂ˝
Elementy dráhy meteoroidu:
Vzdálenost v periheliu: 0,166 AU
Excentricita: 0,955
Sklon dráhy: 29,0°
Délka vzestupného uzlu: 240,3°
Argument perihelia: 314,6°
Střední anomálie: 355,2°
Epocha: 2023 NOV 23 05:04:45
orbit plot

NeinteraktivnĂ­ graf | InteraktivnĂ­ graf

position vs time
speed and acceleration