🇳🇴 🇬🇧 🇩🇪 🇨🇿 🇫🇮

Meteor Kautokeinon yllä 2023-11-23 05:04:45 UTC

KML-tiedosto  |  Interaktiivinen kartta

Kartta näyttää meteorin suuntahavainnot. Vaaleammat viivat näyttävät suunnat havaintoasemilta meteorin ilmestyessä, ja tummemmat viivat näyttävät, missä se viimeksi nähtiin. Sininen nuoli näyttää meteorin näkyvän lennon.

static map
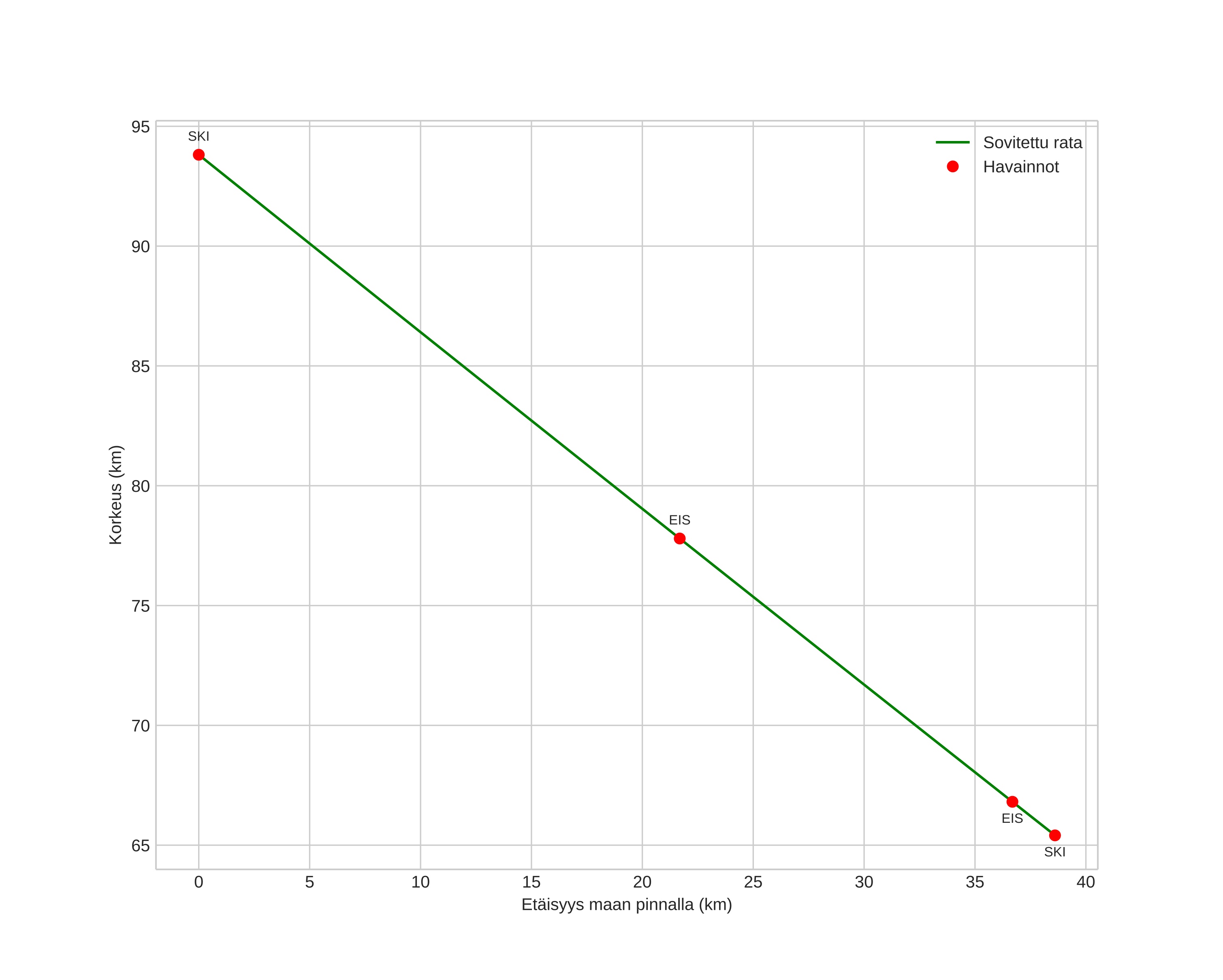
height profile
Meteorin ilmakehärata:
Alkukorkeus: 95,5 km
Loppukorkeus: 65,2 km
Alkupiste: 69,260N 21,513E
Loppupiste: 69,242N 22,470E
Suunta: 92,5°
Kallistuskulma: 38,8°
Tulonopeus: 40,6 km/s
Radiantin R,A,: 05:29 (82,3°)
Radiantin Dekl,: 35,6°
Meteoriparvi: Sporadinen
Meteoroidin rataelementit:
Perihelietäisyys: 0,166 AU
Eksentrisyys: 0,955
Inklinaatio: 29,0°
Nousevan solmun pituus: 240,3°
Perihelin argumentti: 314,6°
Keskianomalia: 355,2°
Epookki: 2023 NOV 23 05:04:45
orbit plot

Ei-interaktiivinen kuvaaja | Interaktiivinen kuvaaja

position vs time
speed and acceleration