🇳🇴 🇬🇧 🇩🇪 🇨🇿 🇫🇮

Meteor über Kautokeino 2023-11-23 05:04:45 UTC

KML-Datei  |  Interaktive Karte

Die Karte zeigt die Peilungen für den Meteor. Die helleren Linien zeigen die Richtungen von den Beobachtungsorten beim Erscheinen des Meteors, und die dunkleren Linien, wo er zuletzt gesehen wurde. Der blaue Pfeil zeigt die sichtbare Bahn des Meteors.

static map
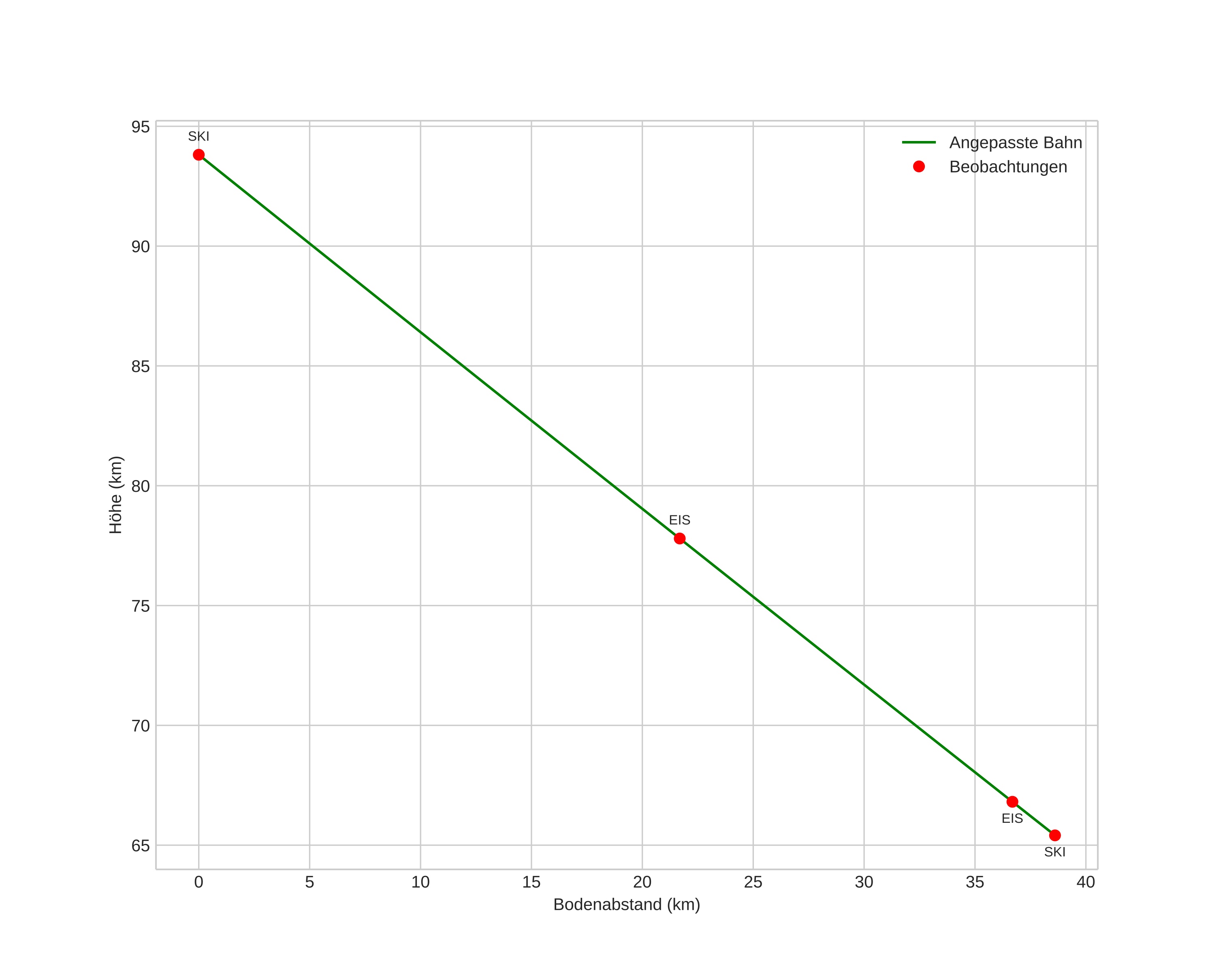
height profile
Atmosphärische Bahn des Meteors:
Anfangshöhe: 95,5 km
Endhöhe: 65,2 km
Startposition: 69,260N 21,513E
Endposition: 69,242N 22,470E
Richtung: 92,5°
Neigungswinkel: 38,8°
Eintrittsgeschwindigkeit: 40,6 km/s
Rektaszension des Radianten: 05:29 (82,3°)
Deklination des Radianten: 35,6°
Meteorstrom: sporadisch
Bahnelemente des Meteoroiden:
Periheldistanz: 0,166 AU
Exzentrizität: 0,955
Inklination: 29,0°
Länge des aufsteigenden Knotens: 240,3°
Argument des Perihels: 314,6°
Mittlere Anomalie: 355,2°
Epoche: 2023 NOV 23 05:04:45
orbit plot

Nicht-interaktives Diagramm | Interaktives Diagramm

position vs time
speed and acceleration

Eiscat (EIS) cam5


gnomonic
Videos
• Gnomonisch
• Gnomonisch mit Koordinaten
• Original
• Original mit Koordinaten
Bilder
• Gnomonisch
• Gnomonisch mit Koordinaten
• Gnomonisch mit Beschriftungen
• Unkorrigiert gnomonisch mit Beschriftungen
• Original
• Original mit Koordinaten
• Original mit Maske
Textdateien
• Erkennung
• Beobachtung
• Koordinaten
• Fehlermeldungen
• Protokoll
Helligkeit

Skibotn (SKI) cam2


gnomonic
Videos
• Gnomonisch
• Gnomonisch mit Koordinaten
• Original
• Original mit Koordinaten
Bilder
• Gnomonisch
• Gnomonisch mit Koordinaten
• Gnomonisch mit Beschriftungen
• Unkorrigiert gnomonisch mit Beschriftungen
• Original
• Original mit Koordinaten
• Original mit Maske
Textdateien
• Erkennung
• Beobachtung
• Koordinaten
• Fehlermeldungen
• Protokoll
Helligkeit