🇳🇴 🇬🇧 🇩🇪 🇨🇿 🇫🇮

Meteor, poloha: Nørre Bindslev 2023-11-24 23:54:59 UTC

Soubor KML  |  Interaktivní mapa

Mapa zobrazuje dráhy meteoru. Světlejší čáry ukazují směry od pozorovacích stanic při objevení se meteoru a tmavší čáry, kde byl naposledy viděn. Modrá šipka značí viditelnou dráhu meteoru.

static map
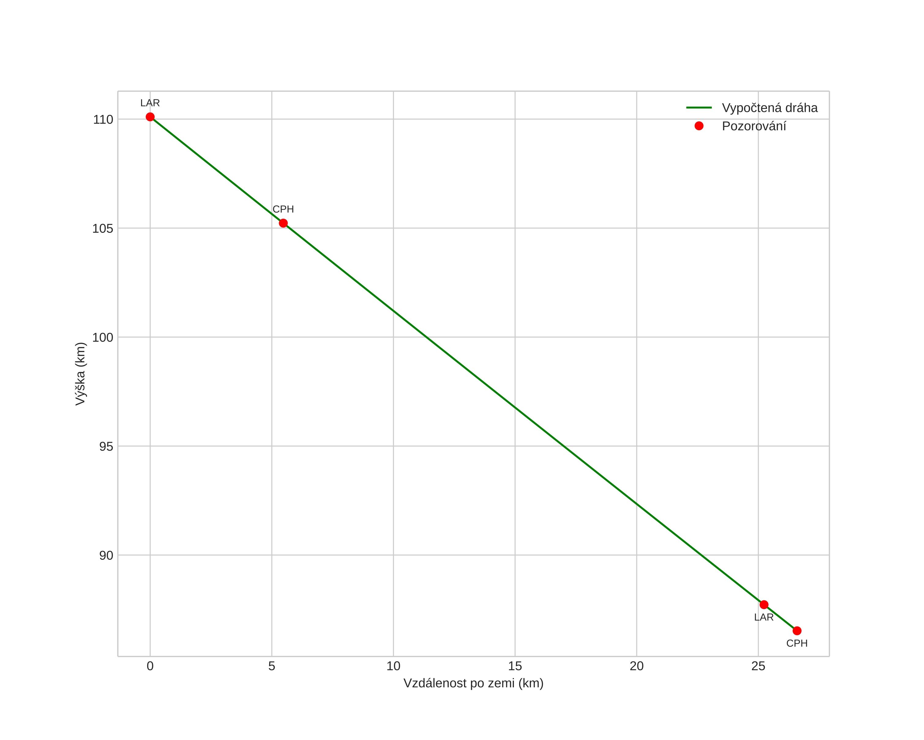
height profile
Atmosférická dráha meteoru:
Počáteční výška: 110,1 km
Konečná výška: 86,5 km
Počáteční poloha: 57,971N 10,452E
Konečná poloha: 57,758N 10,248E
Směr: 207,1°
Sklon: 41,6°
Vstupní rychlost: 48,0 km/s
Rektascenze radiantu: 13:03 (195,8°)
Deklinace radiantu: 66,2°
Meteorický roj: sporadický
Elementy dráhy meteoroidu:
Vzdálenost v periheliu: 0,983 AU
Excentricita: 0,976
Sklon dráhy: 78,5°
Délka vzestupného uzlu: 242,1°
Argument perihelia: 187,4°
Střední anomálie: 360,0°
Epocha: 2023 NOV 24 23:54:59
orbit plot

Neinteraktivní graf | Interaktivní graf

position vs time
speed and acceleration