🇳🇴 🇬🇧 🇩🇪 🇨🇿 🇫🇮

Meteor über Nørre Bindslev 2023-11-24 23:54:59 UTC

KML-Datei  |  Interaktive Karte

Die Karte zeigt die Peilungen für den Meteor. Die helleren Linien zeigen die Richtungen von den Beobachtungsorten beim Erscheinen des Meteors, und die dunkleren Linien, wo er zuletzt gesehen wurde. Der blaue Pfeil zeigt die sichtbare Bahn des Meteors.

static map
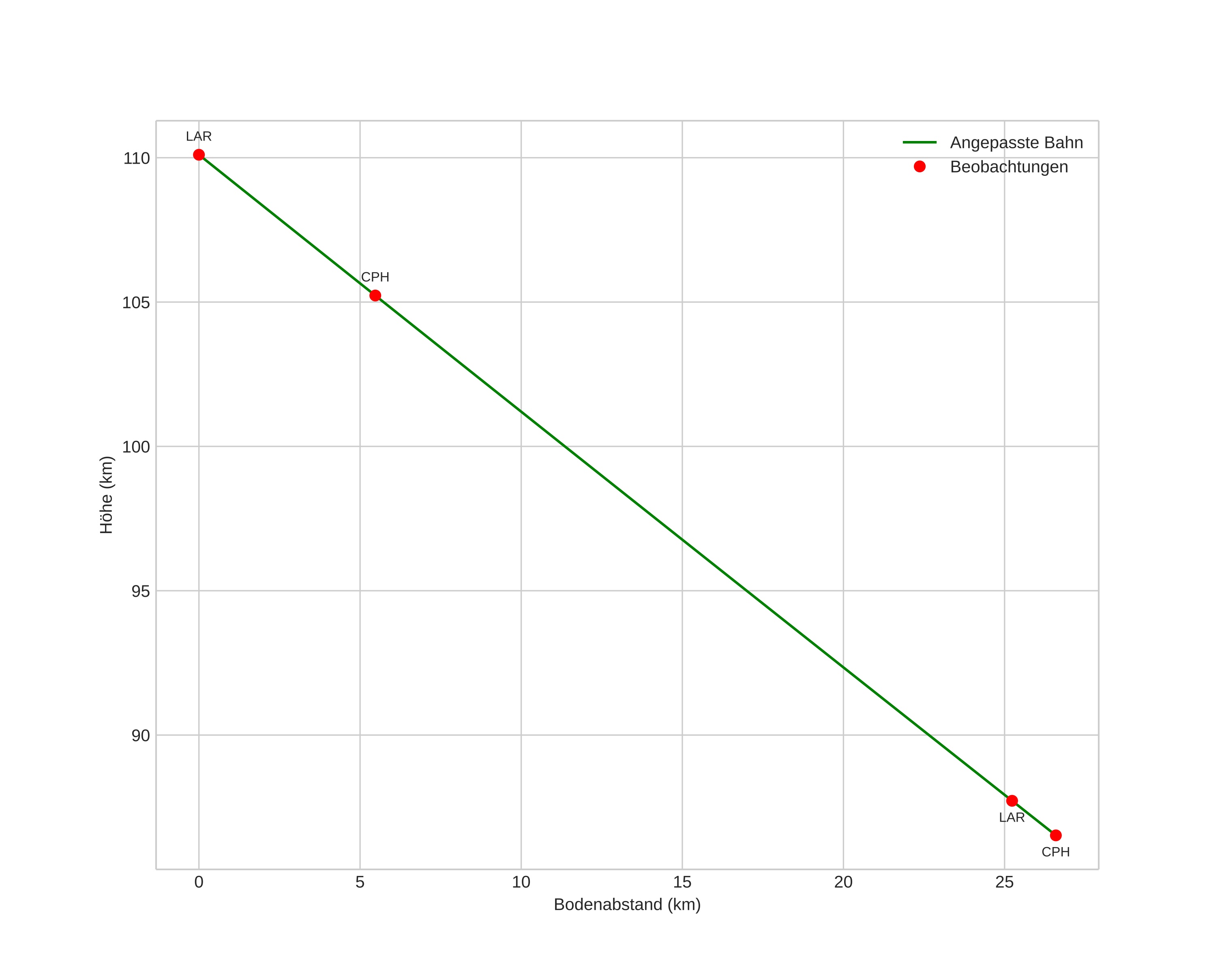
height profile
Atmosphärische Bahn des Meteors:
Anfangshöhe: 110,1 km
Endhöhe: 86,5 km
Startposition: 57,971N 10,452E
Endposition: 57,758N 10,248E
Richtung: 207,1°
Neigungswinkel: 41,6°
Eintrittsgeschwindigkeit: 48,0 km/s
Rektaszension des Radianten: 13:03 (195,8°)
Deklination des Radianten: 66,2°
Meteorstrom: sporadisch
Bahnelemente des Meteoroiden:
Periheldistanz: 0,983 AU
Exzentrizität: 0,976
Inklination: 78,5°
Länge des aufsteigenden Knotens: 242,1°
Argument des Perihels: 187,4°
Mittlere Anomalie: 360,0°
Epoche: 2023 NOV 24 23:54:59
orbit plot

Nicht-interaktives Diagramm | Interaktives Diagramm

position vs time
speed and acceleration

Larvik (LAR) cam3


gnomonic
Videos
• Gnomonisch
• Gnomonisch mit Koordinaten
• Original
• Original mit Koordinaten
Bilder
• Gnomonisch
• Gnomonisch mit Koordinaten
• Gnomonisch mit Beschriftungen
• Unkorrigiert gnomonisch mit Beschriftungen
• Original
• Original mit Koordinaten
• Original mit Maske
Textdateien
• Erkennung
• Beobachtung
• Koordinaten
• Fehlermeldungen
• Protokoll
Helligkeit