🇳🇴 🇬🇧 🇩🇪 🇨🇿 🇫🇮

Meteor Nørre Bindslevin yllä 2023-11-24 23:54:59 UTC

KML-tiedosto  |  Interaktiivinen kartta

Kartta näyttää meteorin suuntahavainnot. Vaaleammat viivat näyttävät suunnat havaintoasemilta meteorin ilmestyessä, ja tummemmat viivat näyttävät, missä se viimeksi nähtiin. Sininen nuoli näyttää meteorin näkyvän lennon.

static map
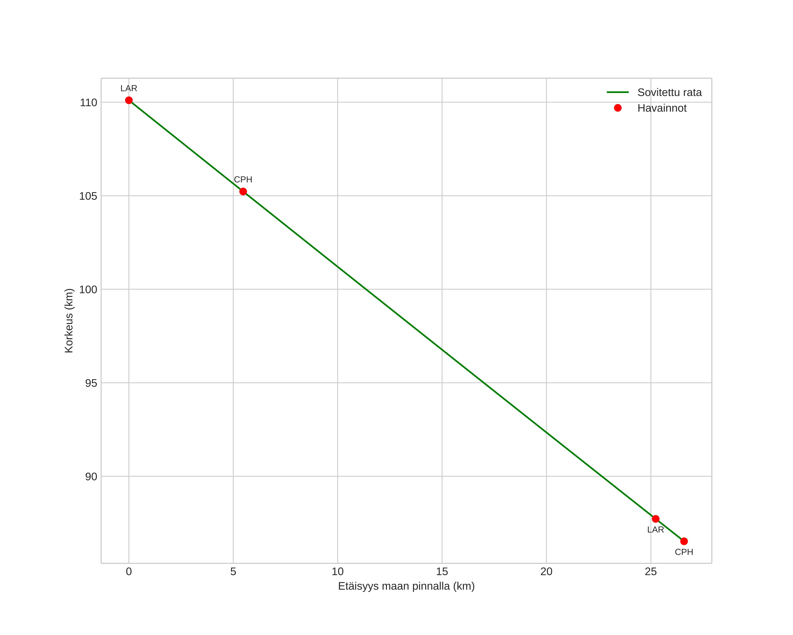
height profile
Meteorin ilmakehärata:
Alkukorkeus: 110,1 km
Loppukorkeus: 86,5 km
Alkupiste: 57,971N 10,452E
Loppupiste: 57,758N 10,248E
Suunta: 207,1°
Kallistuskulma: 41,6°
Tulonopeus: 48,0 km/s
Radiantin R,A,: 13:03 (195,8°)
Radiantin Dekl,: 66,2°
Meteoriparvi: Sporadinen
Meteoroidin rataelementit:
Perihelietäisyys: 0,983 AU
Eksentrisyys: 0,976
Inklinaatio: 78,5°
Nousevan solmun pituus: 242,1°
Perihelin argumentti: 187,4°
Keskianomalia: 360,0°
Epookki: 2023 NOV 24 23:54:59
orbit plot

Ei-interaktiivinen kuvaaja | Interaktiivinen kuvaaja

position vs time
speed and acceleration