🇳🇴 🇬🇧 🇩🇪 🇨🇿 🇫🇮

Meteor, poloha: Lødingen 2023-12-09 21:41:09 UTC

Eiscat – 1
Eiscat – 1
Sørreisa – 3
Sørreisa – 3

Soubor KML  | Interaktivní mapa

map

Mapa zobrazuje dráhy meteoru. Světlejší čáry ukazují směry od pozorovacích stanic při objevení se meteoru a tmavší čáry, kde byl naposledy viděn. Modrá šipka značí viditelnou dráhu meteoru.

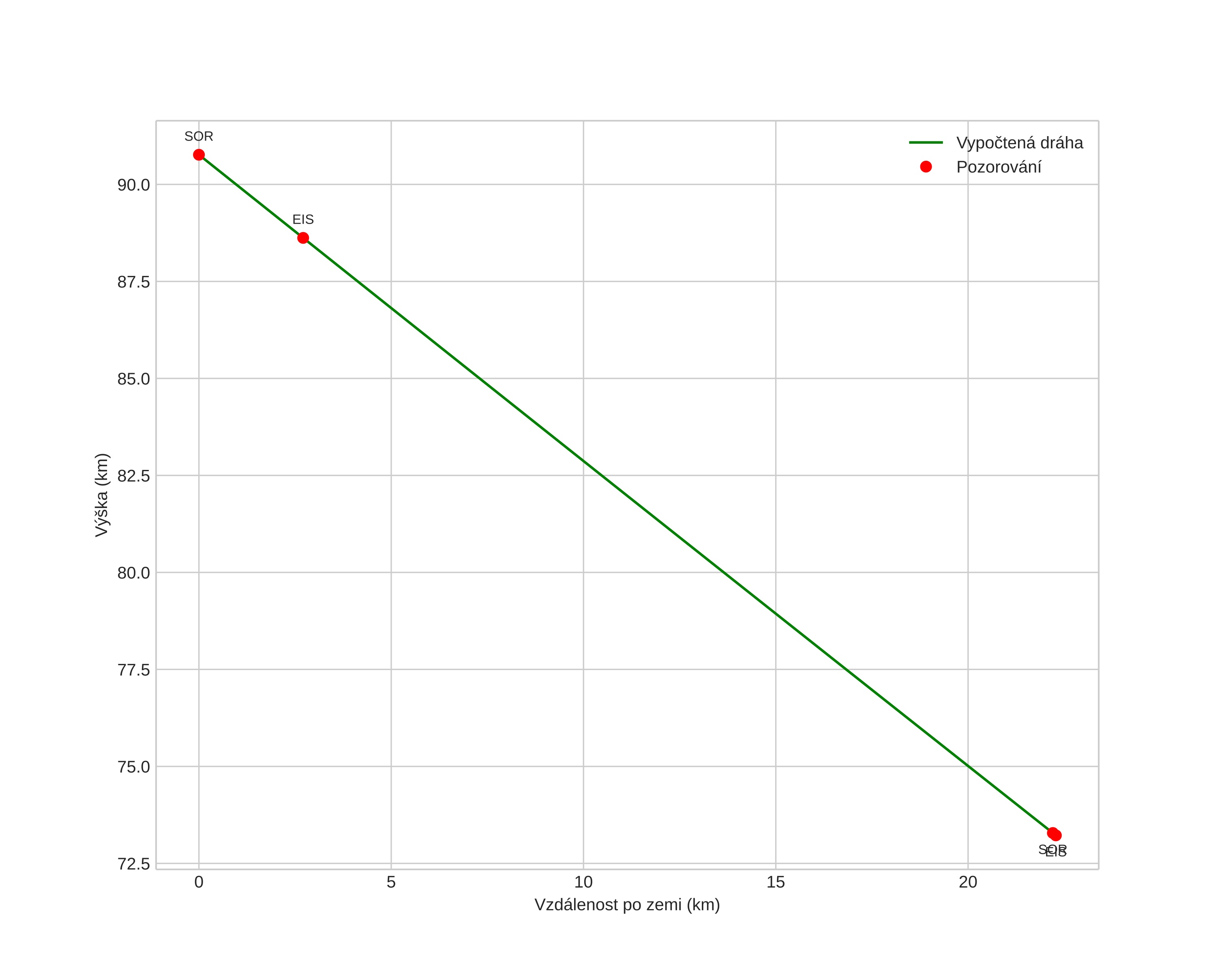
height profile
Atmosférická dráha meteoru:
Počáteční výška: 89,9 km
Konečná výška: 73,3 km
Počáteční poloha: 68,415N 16,100E
Konečná poloha: 68,572N 15,779E
Směr: 323,4°
Sklon: 37,2°
Vstupní rychlost: 28,9 km/s
Rektascenze radiantu: 05:58 (89,7°)
Deklinace radiantu: 16,9°
Meteorický roj: sporadický
Elementy dráhy meteoroidu:
Vzdálenost v periheliu: 0,375 AU
Excentricita: 0,783
Sklon dráhy: 7,0°
Délka vzestupného uzlu: 77,2°
Argument perihelia: 114,1°
Střední anomálie: 340,8°
Epocha: 2023 DEC 09 21:41:09
orbit

Neinteraktivní graf | Interaktivní graf

position vs time
speed & acceleration