🇳🇴 🇬🇧 🇩🇪 🇨🇿 🇫🇮

Meteor über Lødingen 2023-12-09 21:41:09 UTC

Eiscat – 1
Eiscat – 1
Sørreisa – 3
Sørreisa – 3

KML-Datei  | Interaktive Karte

map

Die Karte zeigt die Peilungen für den Meteor. Die helleren Linien zeigen die Richtungen von den Beobachtungsorten beim Erscheinen des Meteors, und die dunkleren Linien, wo er zuletzt gesehen wurde. Der blaue Pfeil zeigt die sichtbare Bahn des Meteors.

height profile
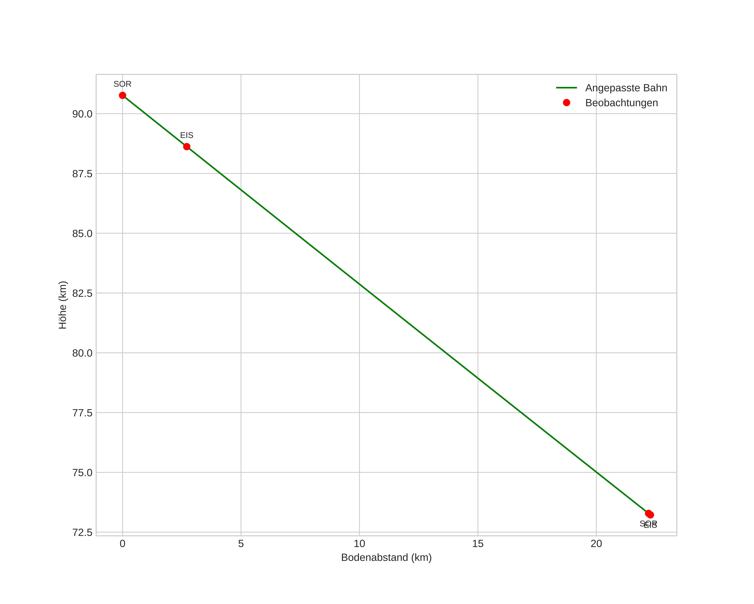
Atmosphärische Bahn des Meteors:
Anfangshöhe: 89,9 km
Endhöhe: 73,3 km
Startposition: 68,415N 16,100E
Endposition: 68,572N 15,779E
Richtung: 323,4°
Neigungswinkel: 37,2°
Eintrittsgeschwindigkeit: 28,9 km/s
Rektaszension des Radianten: 05:58 (89,7°)
Deklination des Radianten: 16,9°
Meteorstrom: sporadisch
Bahnelemente des Meteoroiden:
Periheldistanz: 0,375 AU
Exzentrizität: 0,783
Inklination: 7,0°
Länge des aufsteigenden Knotens: 77,2°
Argument des Perihels: 114,1°
Mittlere Anomalie: 340,8°
Epoche: 2023 DEC 09 21:41:09
orbit

Nicht-interaktives Diagramm | Interaktives Diagramm

position vs time
speed & acceleration