🇳🇴 🇬🇧 🇩🇪 🇨🇿 🇫🇮

Meteor Lødingenin yllä 2023-12-09 21:41:09 UTC

Eiscat – 1
Eiscat – 1
Sørreisa – 3
Sørreisa – 3

KML-tiedosto  | Interaktiivinen kartta

map

Kartta näyttää meteorin suuntahavainnot. Vaaleammat viivat näyttävät suunnat havaintoasemilta meteorin ilmestyessä, ja tummemmat viivat näyttävät, missä se viimeksi nähtiin. Sininen nuoli näyttää meteorin näkyvän lennon.

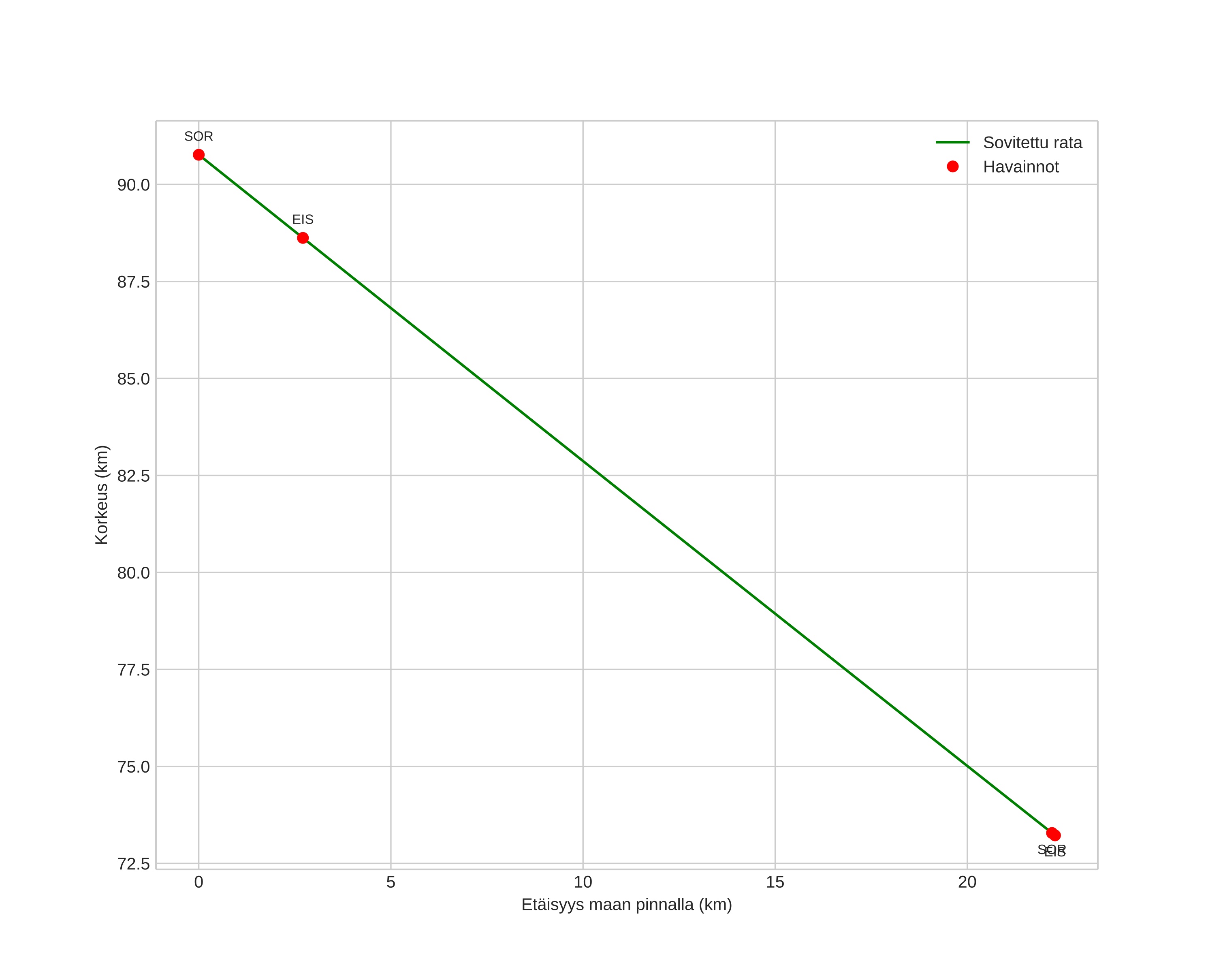
height profile
Meteorin ilmakehärata:
Alkukorkeus: 89,9 km
Loppukorkeus: 73,3 km
Alkupiste: 68,415N 16,100E
Loppupiste: 68,572N 15,779E
Suunta: 323,4°
Kallistuskulma: 37,2°
Tulonopeus: 28,9 km/s
Radiantin R,A,: 05:58 (89,7°)
Radiantin Dekl,: 16,9°
Meteoriparvi: Sporadinen
Meteoroidin rataelementit:
Perihelietäisyys: 0,375 AU
Eksentrisyys: 0,783
Inklinaatio: 7,0°
Nousevan solmun pituus: 77,2°
Perihelin argumentti: 114,1°
Keskianomalia: 340,8°
Epookki: 2023 DEC 09 21:41:09
orbit

Ei-interaktiivinen kuvaaja | Interaktiivinen kuvaaja

position vs time
speed & acceleration