🇳🇴 🇬🇧 🇩🇪 🇨🇿 🇫🇮

Meteor, poloha: Olderdalen 2023-12-12 03:32:34 UTC

Soubor KML  |  InteraktivnĂ­ mapa

Mapa zobrazuje dráhy meteoru. Světlejší čáry ukazují směry od pozorovacích stanic při objevení se meteoru a tmavší čáry, kde byl naposledy viděn. Modrá šipka značí viditelnou dráhu meteoru.

static map
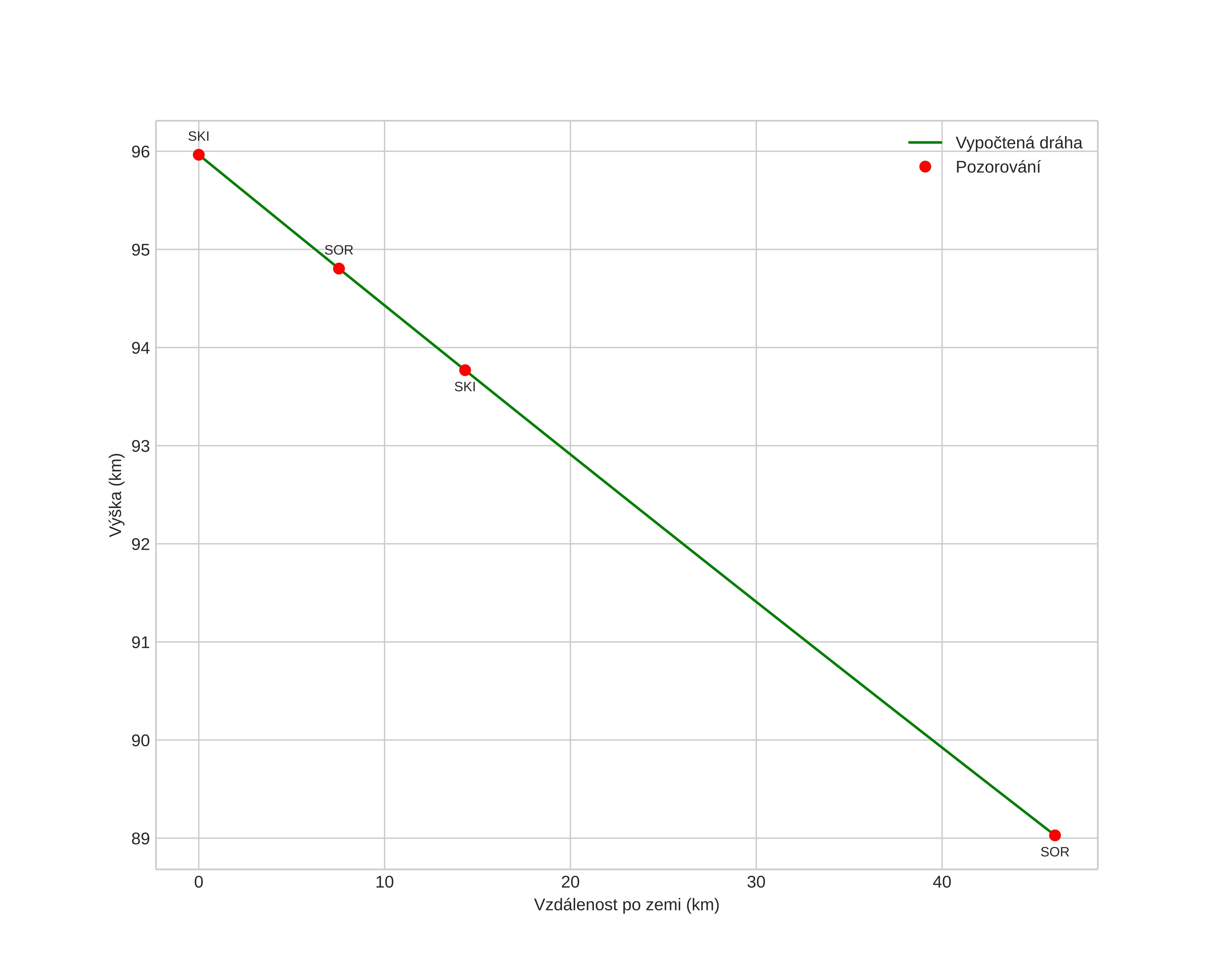
height profile
Atmosférická dráha meteoru:
Počáteční výška: 96,2 km
Konečná výška: 89,7 km
Počáteční poloha: 69,095N 21,322E
Konečná poloha: 69,427N 20,626E
Směr: 323,7°
Sklon: 8,0°
VstupnĂ­ rychlost: 73,0 km/s
Rektascenze radiantu: 12:44 (191,0°)
Deklinace radiantu: -9,3°
MeteorickĂ˝ roj: sporadickĂ˝
Elementy dráhy meteoroidu:
Vzdálenost v periheliu: 0,622 AU
Excentricita: 1,231
Sklon dráhy: 171,4°
Délka vzestupného uzlu: 79,5°
Argument perihelia: 289,5°
Střední anomálie: 7,3°
Epocha: 2023 DEC 12 03:32:34
orbit plot

NeinteraktivnĂ­ graf | InteraktivnĂ­ graf

position vs time
speed and acceleration