🇳🇴 🇬🇧 🇩🇪 🇨🇿 🇫🇮

Meteor Olderdalenin yllä 2023-12-12 03:32:34 UTC

KML-tiedosto  |  Interaktiivinen kartta

Kartta näyttää meteorin suuntahavainnot. Vaaleammat viivat näyttävät suunnat havaintoasemilta meteorin ilmestyessä, ja tummemmat viivat näyttävät, missä se viimeksi nähtiin. Sininen nuoli näyttää meteorin näkyvän lennon.

static map
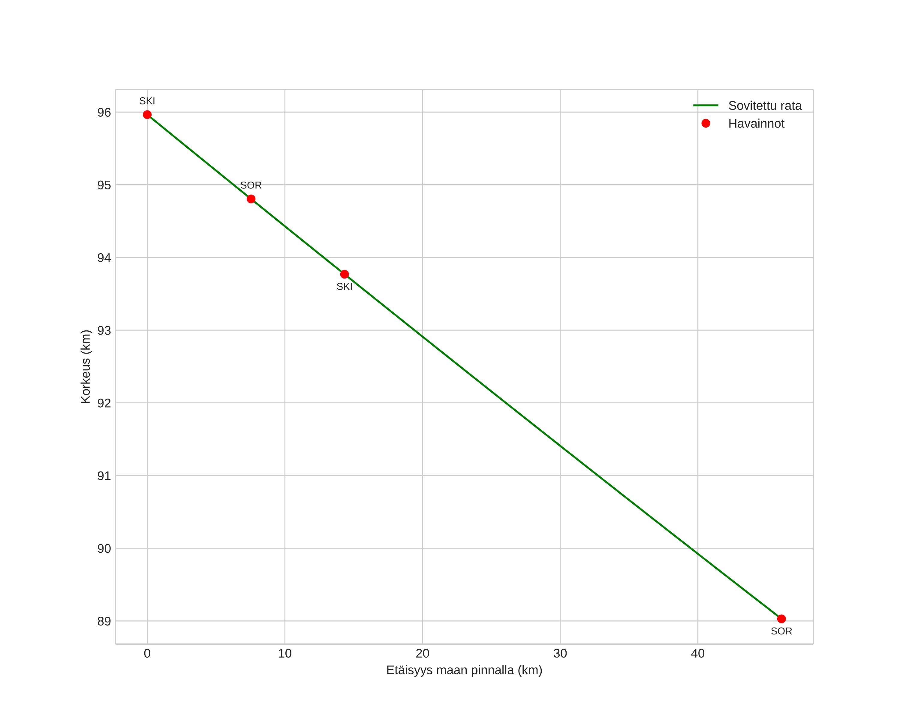
height profile
Meteorin ilmakehärata:
Alkukorkeus: 96,2 km
Loppukorkeus: 89,7 km
Alkupiste: 69,095N 21,322E
Loppupiste: 69,427N 20,626E
Suunta: 323,7°
Kallistuskulma: 8,0°
Tulonopeus: 73,0 km/s
Radiantin R,A,: 12:44 (191,0°)
Radiantin Dekl,: -9,3°
Meteoriparvi: Sporadinen
Meteoroidin rataelementit:
Perihelietäisyys: 0,622 AU
Eksentrisyys: 1,231
Inklinaatio: 171,4°
Nousevan solmun pituus: 79,5°
Perihelin argumentti: 289,5°
Keskianomalia: 7,3°
Epookki: 2023 DEC 12 03:32:34
orbit plot

Ei-interaktiivinen kuvaaja | Interaktiivinen kuvaaja

position vs time
speed and acceleration