🇳🇴 🇬🇧 🇩🇪 🇨🇿 🇫🇮

Meteor über Olderdalen 2023-12-12 03:32:34 UTC

KML-Datei  |  Interaktive Karte

Die Karte zeigt die Peilungen für den Meteor. Die helleren Linien zeigen die Richtungen von den Beobachtungsorten beim Erscheinen des Meteors, und die dunkleren Linien, wo er zuletzt gesehen wurde. Der blaue Pfeil zeigt die sichtbare Bahn des Meteors.

static map
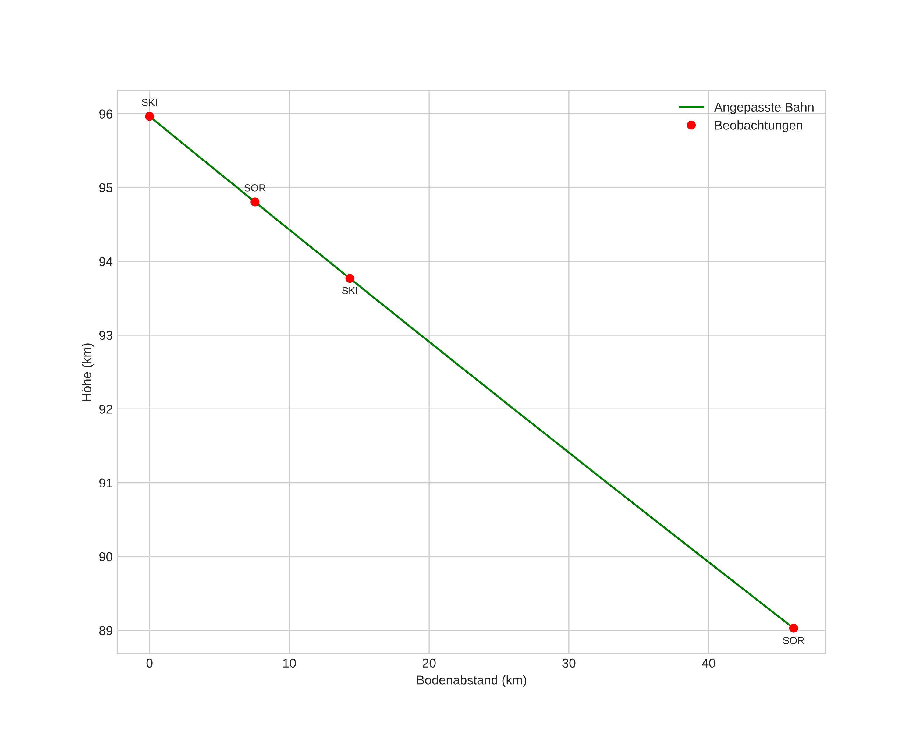
height profile
Atmosphärische Bahn des Meteors:
Anfangshöhe: 96,2 km
Endhöhe: 89,7 km
Startposition: 69,095N 21,322E
Endposition: 69,427N 20,626E
Richtung: 323,7°
Neigungswinkel: 8,0°
Eintrittsgeschwindigkeit: 73,0 km/s
Rektaszension des Radianten: 12:44 (191,0°)
Deklination des Radianten: -9,3°
Meteorstrom: sporadisch
Bahnelemente des Meteoroiden:
Periheldistanz: 0,622 AU
Exzentrizität: 1,231
Inklination: 171,4°
Länge des aufsteigenden Knotens: 79,5°
Argument des Perihels: 289,5°
Mittlere Anomalie: 7,3°
Epoche: 2023 DEC 12 03:32:34
orbit plot

Nicht-interaktives Diagramm | Interaktives Diagramm

position vs time
speed and acceleration