🇳🇴 🇬🇧 🇩🇪 🇨🇿 🇫🇮

Meteor, poloha: Setermoen 2023-12-13 16:07:17 UTC

Soubor KML  |  InteraktivnĂ­ mapa

Mapa zobrazuje dráhy meteoru. Světlejší čáry ukazují směry od pozorovacích stanic při objevení se meteoru a tmavší čáry, kde byl naposledy viděn. Modrá šipka značí viditelnou dráhu meteoru.

static map
height profile
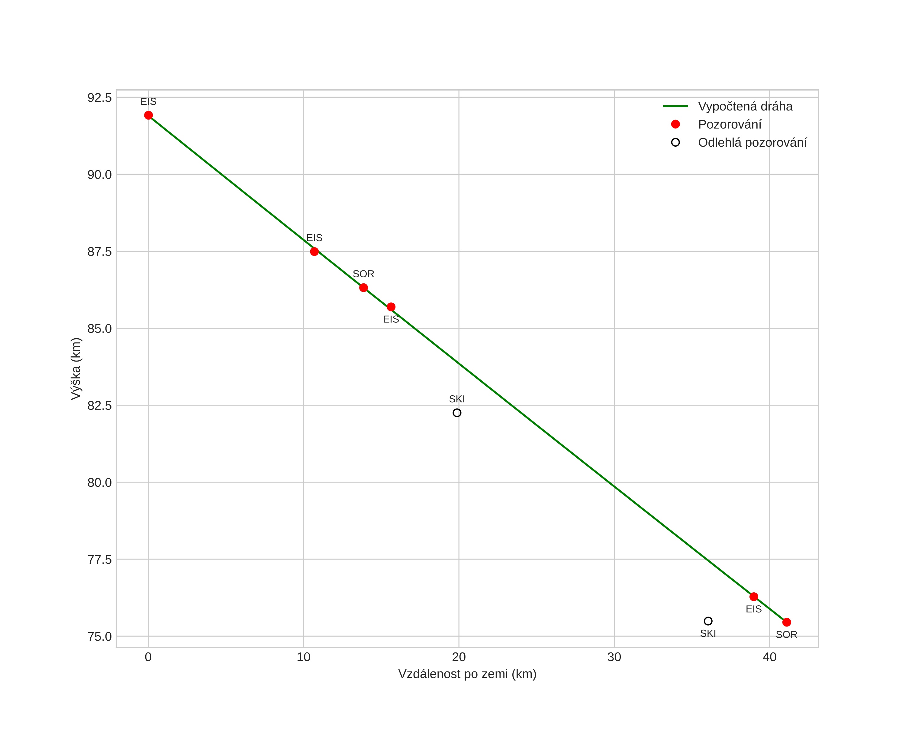
Atmosférická dráha meteoru:
Počáteční výška: 92,6 km
Konečná výška: 79,0 km
Počáteční poloha: 68,690N 19,523E
Konečná poloha: 68,361N 18,783E
Směr: 219,9°
Sklon: 16,0°
VstupnĂ­ rychlost: 35,3 km/s
Rektascenze radiantu: 07:50 (117,5°)
Deklinace radiantu: 29,7°
MeteorickĂ˝ roj: Geminidy
Elementy dráhy meteoroidu:
Vzdálenost v periheliu: 0,101 AU
Excentricita: 0,903
Sklon dráhy: 21,7°
Délka vzestupného uzlu: 261,0°
Argument perihelia: 332,9°
Střední anomálie: 325,4°
Epocha: 2023 DEC 13 16:07:17
orbit plot

NeinteraktivnĂ­ graf | InteraktivnĂ­ graf

position vs time
speed and acceleration