🇳🇴 🇬🇧 🇩🇪 🇨🇿 🇫🇮

Meteor über Setermoen 2023-12-13 16:07:17 UTC

KML-Datei  |  Interaktive Karte

Die Karte zeigt die Peilungen für den Meteor. Die helleren Linien zeigen die Richtungen von den Beobachtungsorten beim Erscheinen des Meteors, und die dunkleren Linien, wo er zuletzt gesehen wurde. Der blaue Pfeil zeigt die sichtbare Bahn des Meteors.

static map
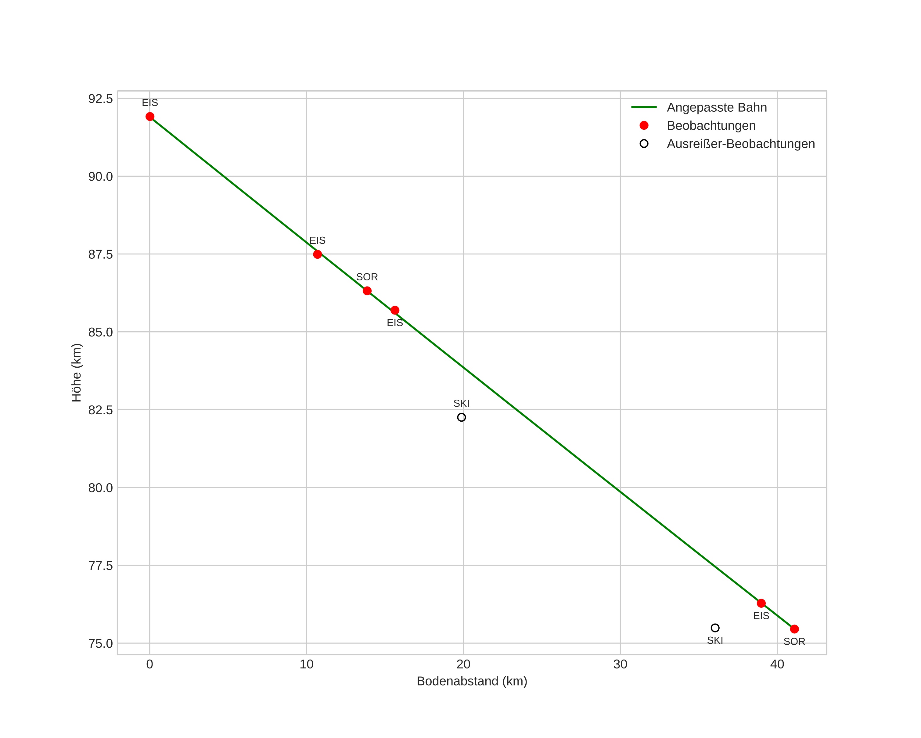
height profile
Atmosphärische Bahn des Meteors:
Anfangshöhe: 92,6 km
Endhöhe: 79,0 km
Startposition: 68,690N 19,523E
Endposition: 68,361N 18,783E
Richtung: 219,9°
Neigungswinkel: 16,0°
Eintrittsgeschwindigkeit: 35,3 km/s
Rektaszension des Radianten: 07:50 (117,5°)
Deklination des Radianten: 29,7°
Meteorstrom: Geminiden
Bahnelemente des Meteoroiden:
Periheldistanz: 0,101 AU
Exzentrizität: 0,903
Inklination: 21,7°
Länge des aufsteigenden Knotens: 261,0°
Argument des Perihels: 332,9°
Mittlere Anomalie: 325,4°
Epoche: 2023 DEC 13 16:07:17
orbit plot

Nicht-interaktives Diagramm | Interaktives Diagramm

position vs time
speed and acceleration