🇳🇴 🇬🇧 🇩🇪 🇨🇿 🇫🇮

Meteor Setermoenin yllä 2023-12-13 16:07:17 UTC

KML-tiedosto  |  Interaktiivinen kartta

Kartta näyttää meteorin suuntahavainnot. Vaaleammat viivat näyttävät suunnat havaintoasemilta meteorin ilmestyessä, ja tummemmat viivat näyttävät, missä se viimeksi nähtiin. Sininen nuoli näyttää meteorin näkyvän lennon.

static map
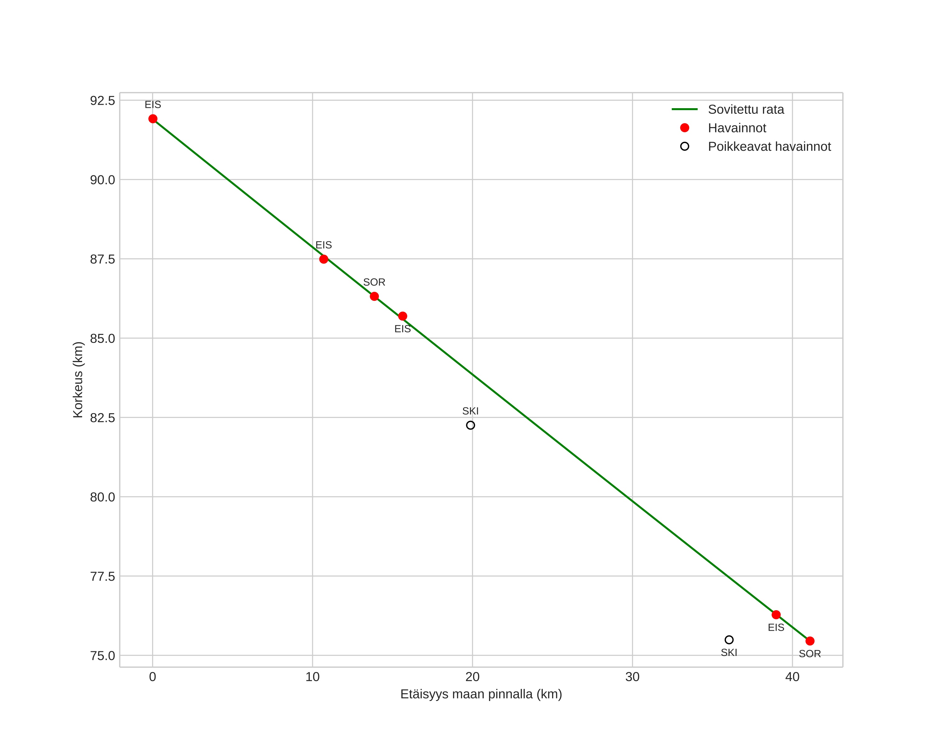
height profile
Meteorin ilmakehärata:
Alkukorkeus: 92,6 km
Loppukorkeus: 79,0 km
Alkupiste: 68,690N 19,523E
Loppupiste: 68,361N 18,783E
Suunta: 219,9°
Kallistuskulma: 16,0°
Tulonopeus: 35,3 km/s
Radiantin R,A,: 07:50 (117,5°)
Radiantin Dekl,: 29,7°
Meteoriparvi: Geminidit
Meteoroidin rataelementit:
Perihelietäisyys: 0,101 AU
Eksentrisyys: 0,903
Inklinaatio: 21,7°
Nousevan solmun pituus: 261,0°
Perihelin argumentti: 332,9°
Keskianomalia: 325,4°
Epookki: 2023 DEC 13 16:07:17
orbit plot

Ei-interaktiivinen kuvaaja | Interaktiivinen kuvaaja

position vs time
speed and acceleration