🇳🇴 🇬🇧 🇩🇪 🇨🇿 🇫🇮

Meteor, poloha: Tromsø 2023-12-13 19:23:38 UTC

Soubor KML  |  InteraktivnĂ­ mapa

Mapa zobrazuje dráhy meteoru. Světlejší čáry ukazují směry od pozorovacích stanic při objevení se meteoru a tmavší čáry, kde byl naposledy viděn. Modrá šipka značí viditelnou dráhu meteoru.

static map
height profile
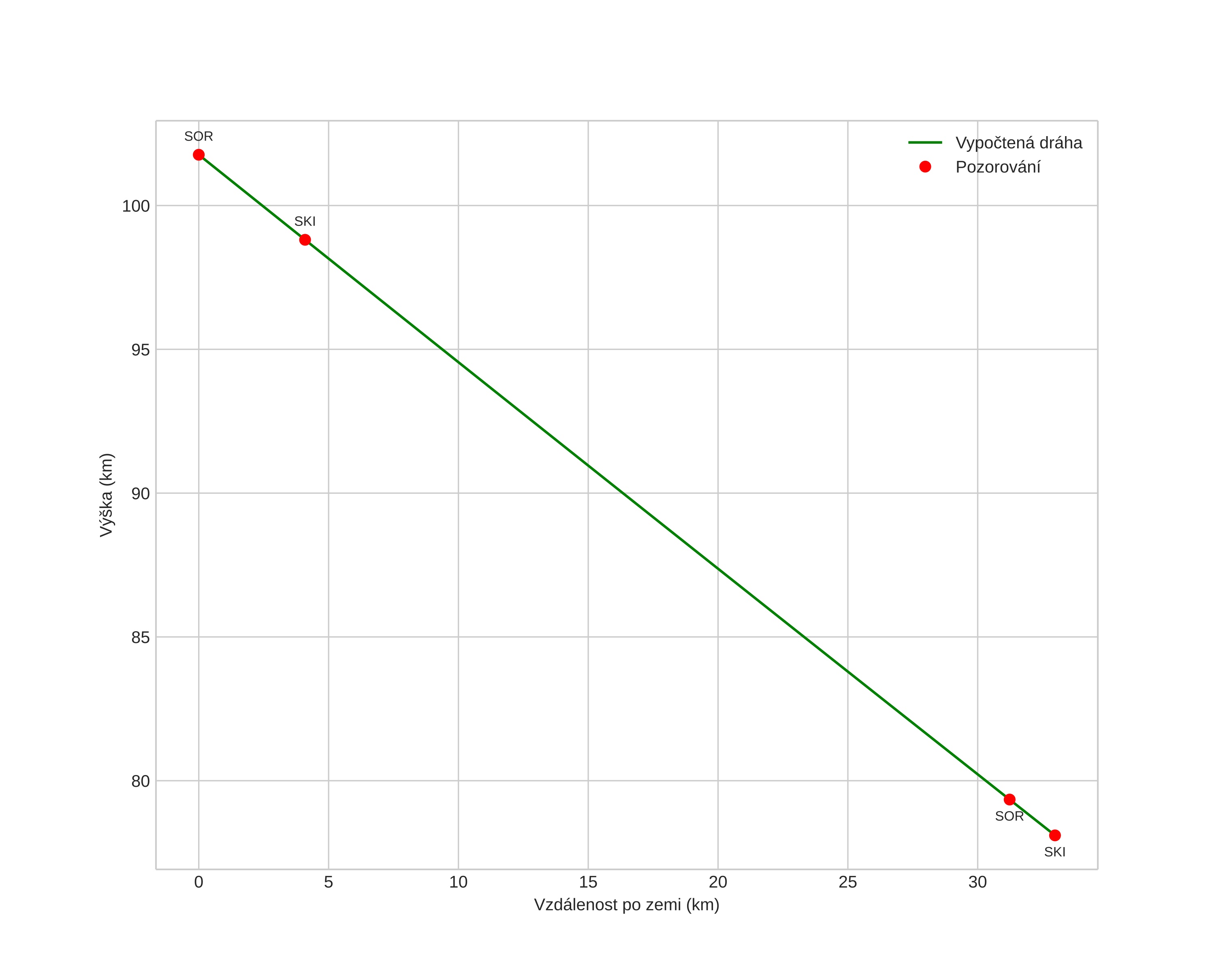
Atmosférická dráha meteoru:
Počáteční výška: 101,9 km
Konečná výška: 78,1 km
Počáteční poloha: 71,842N 18,942E
Konečná poloha: 71,805N 17,997E
Směr: 263,3°
Sklon: 35,8°
VstupnĂ­ rychlost: 39,0 km/s
Rektascenze radiantu: 07:42 (115,6°)
Deklinace radiantu: 34,8°
MeteorickĂ˝ roj: Geminidy
Elementy dráhy meteoroidu:
Vzdálenost v periheliu: 0,124 AU
Excentricita: 0,918
Sklon dráhy: 35,4°
Délka vzestupného uzlu: 261,2°
Argument perihelia: 325,7°
Střední anomálie: 341,0°
Epocha: 2023 DEC 13 19:23:38
orbit plot

NeinteraktivnĂ­ graf | InteraktivnĂ­ graf

position vs time
speed and acceleration