🇳🇴 🇬🇧 🇩🇪 🇨🇿 🇫🇮

Meteor über Tromsø 2023-12-13 19:23:38 UTC

KML-Datei  |  Interaktive Karte

Die Karte zeigt die Peilungen für den Meteor. Die helleren Linien zeigen die Richtungen von den Beobachtungsorten beim Erscheinen des Meteors, und die dunkleren Linien, wo er zuletzt gesehen wurde. Der blaue Pfeil zeigt die sichtbare Bahn des Meteors.

static map
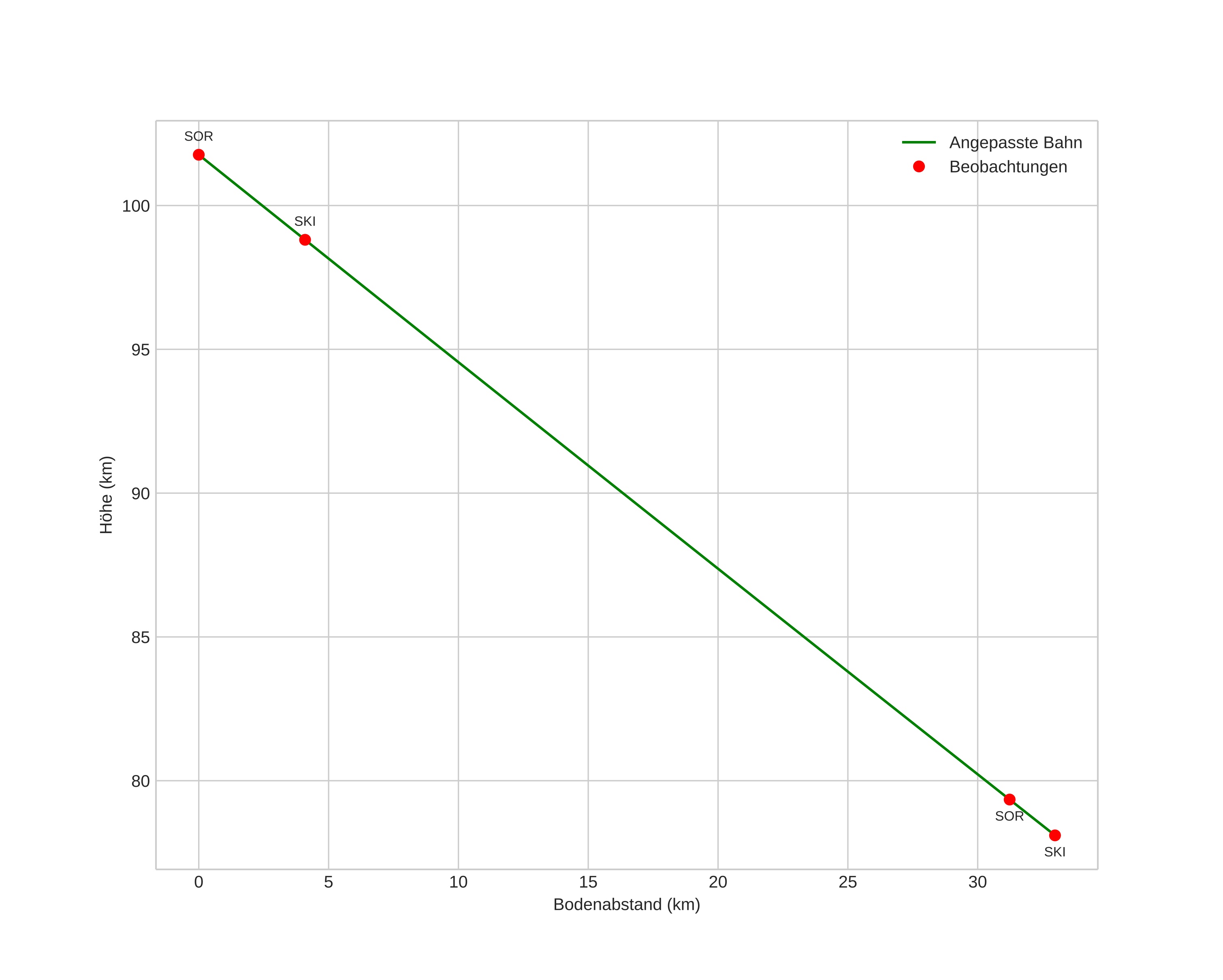
height profile
Atmosphärische Bahn des Meteors:
Anfangshöhe: 101,9 km
Endhöhe: 78,1 km
Startposition: 71,842N 18,942E
Endposition: 71,805N 17,997E
Richtung: 263,3°
Neigungswinkel: 35,8°
Eintrittsgeschwindigkeit: 39,0 km/s
Rektaszension des Radianten: 07:42 (115,6°)
Deklination des Radianten: 34,8°
Meteorstrom: Geminiden
Bahnelemente des Meteoroiden:
Periheldistanz: 0,124 AU
Exzentrizität: 0,918
Inklination: 35,4°
Länge des aufsteigenden Knotens: 261,2°
Argument des Perihels: 325,7°
Mittlere Anomalie: 341,0°
Epoche: 2023 DEC 13 19:23:38
orbit plot

Nicht-interaktives Diagramm | Interaktives Diagramm

position vs time
speed and acceleration