🇳🇴 🇬🇧 🇩🇪 🇨🇿 🇫🇮

Meteor Tromsøin yllä 2023-12-13 19:23:38 UTC

KML-tiedosto  |  Interaktiivinen kartta

Kartta näyttää meteorin suuntahavainnot. Vaaleammat viivat näyttävät suunnat havaintoasemilta meteorin ilmestyessä, ja tummemmat viivat näyttävät, missä se viimeksi nähtiin. Sininen nuoli näyttää meteorin näkyvän lennon.

static map
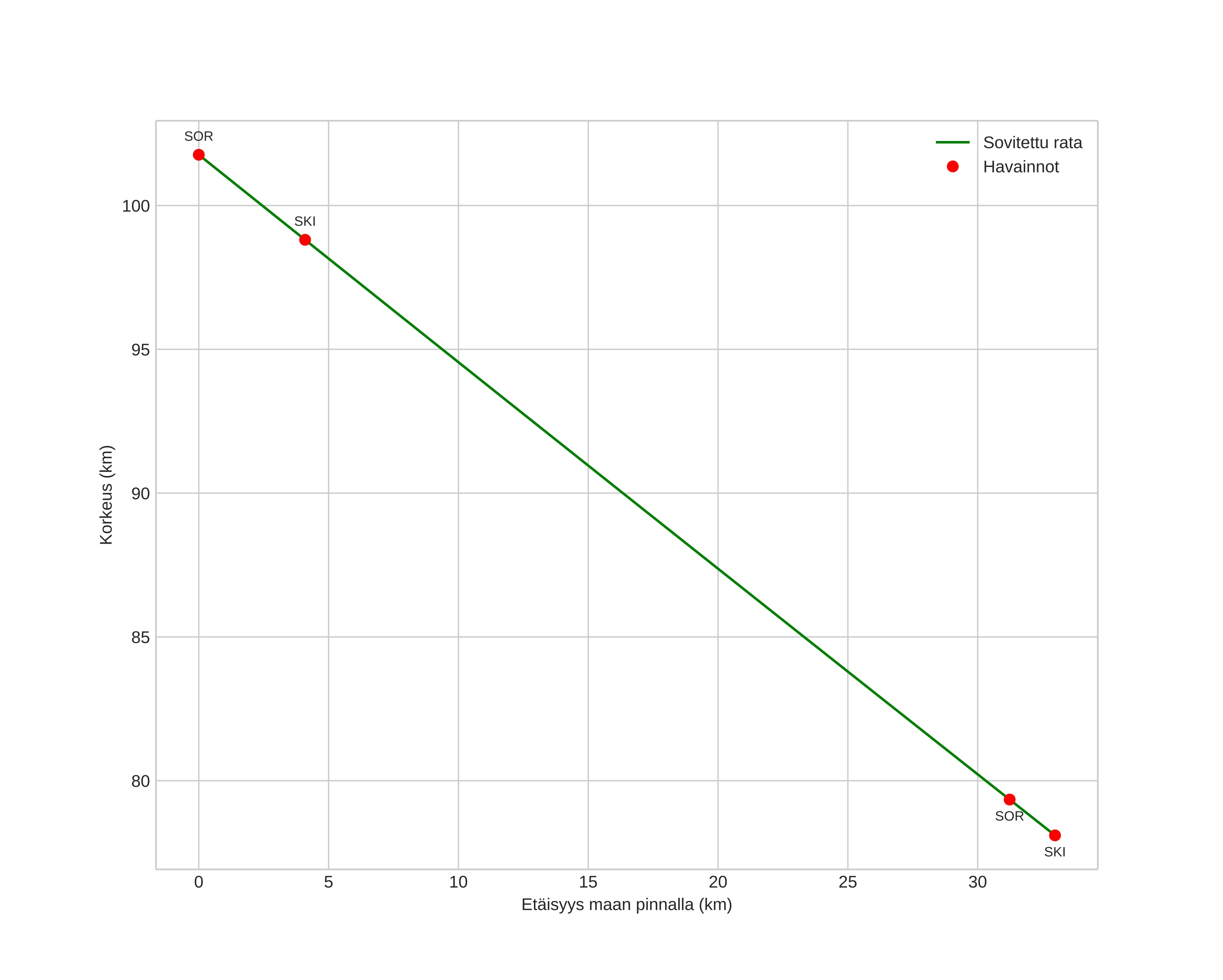
height profile
Meteorin ilmakehärata:
Alkukorkeus: 101,9 km
Loppukorkeus: 78,1 km
Alkupiste: 71,842N 18,942E
Loppupiste: 71,805N 17,997E
Suunta: 263,3°
Kallistuskulma: 35,8°
Tulonopeus: 39,0 km/s
Radiantin R,A,: 07:42 (115,6°)
Radiantin Dekl,: 34,8°
Meteoriparvi: Geminidit
Meteoroidin rataelementit:
Perihelietäisyys: 0,124 AU
Eksentrisyys: 0,918
Inklinaatio: 35,4°
Nousevan solmun pituus: 261,2°
Perihelin argumentti: 325,7°
Keskianomalia: 341,0°
Epookki: 2023 DEC 13 19:23:38
orbit plot

Ei-interaktiivinen kuvaaja | Interaktiivinen kuvaaja

position vs time
speed and acceleration