🇳🇴 🇬🇧 🇩🇪 🇨🇿 🇫🇮

Meteor, poloha: Kiruna 2023-12-14 19:10:56 UTC

Soubor KML  |  InteraktivnĂ­ mapa

Mapa zobrazuje dráhy meteoru. Světlejší čáry ukazují směry od pozorovacích stanic při objevení se meteoru a tmavší čáry, kde byl naposledy viděn. Modrá šipka značí viditelnou dráhu meteoru.

static map
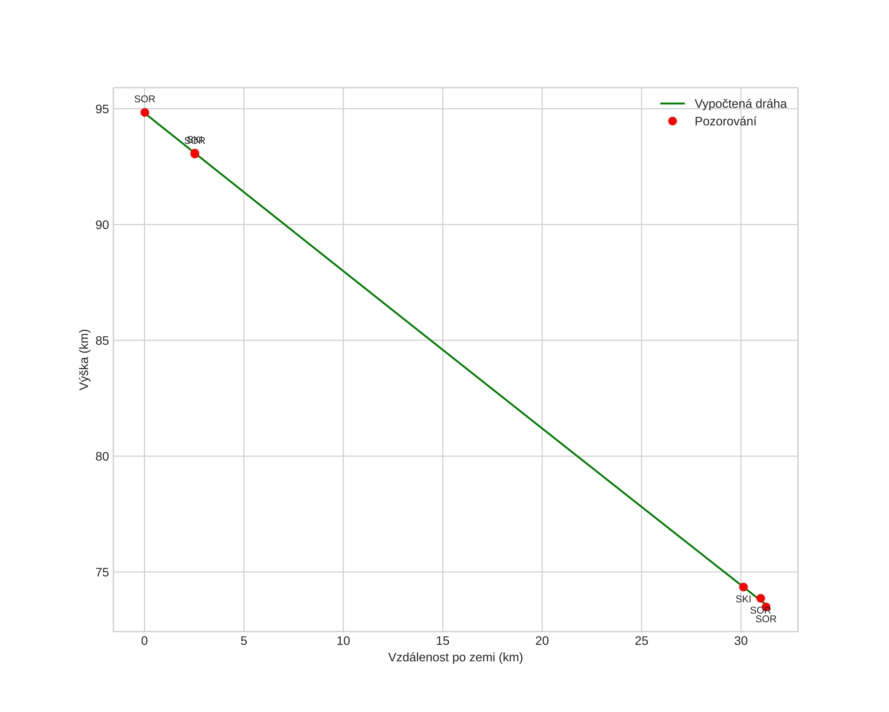
height profile
Atmosférická dráha meteoru:
Počáteční výška: 94,7 km
Konečná výška: 73,2 km
Počáteční poloha: 68,344N 21,376E
Konečná poloha: 68,324N 20,613E
Směr: 266,4°
Sklon: 34,4°
VstupnĂ­ rychlost: 38,6 km/s
Rektascenze radiantu: 07:25 (111,3°)
Deklinace radiantu: 32,0°
MeteorickĂ˝ roj: Geminidy
Elementy dráhy meteoroidu:
Vzdálenost v periheliu: 0,139 AU
Excentricita: 0,924
Sklon dráhy: 23,7°
Délka vzestupného uzlu: 262,2°
Argument perihelia: 322,0°
Střední anomálie: 345,8°
Epocha: 2023 DEC 14 19:10:56
orbit plot

NeinteraktivnĂ­ graf | InteraktivnĂ­ graf

position vs time
speed and acceleration

Skibotn (SKI) cam3

gnomonic
Videa
• Původní
Obrázky
• Původní
Textové soubory
• Detekce
• Pozorování
• Souřadnice
• Chybová hlášení
• Protokol
Jasnost