🇳🇴 🇬🇧 🇩🇪 🇨🇿 🇫🇮

Meteor Kirunan yllä 2023-12-14 19:10:56 UTC

KML-tiedosto  |  Interaktiivinen kartta

Kartta näyttää meteorin suuntahavainnot. Vaaleammat viivat näyttävät suunnat havaintoasemilta meteorin ilmestyessä, ja tummemmat viivat näyttävät, missä se viimeksi nähtiin. Sininen nuoli näyttää meteorin näkyvän lennon.

static map
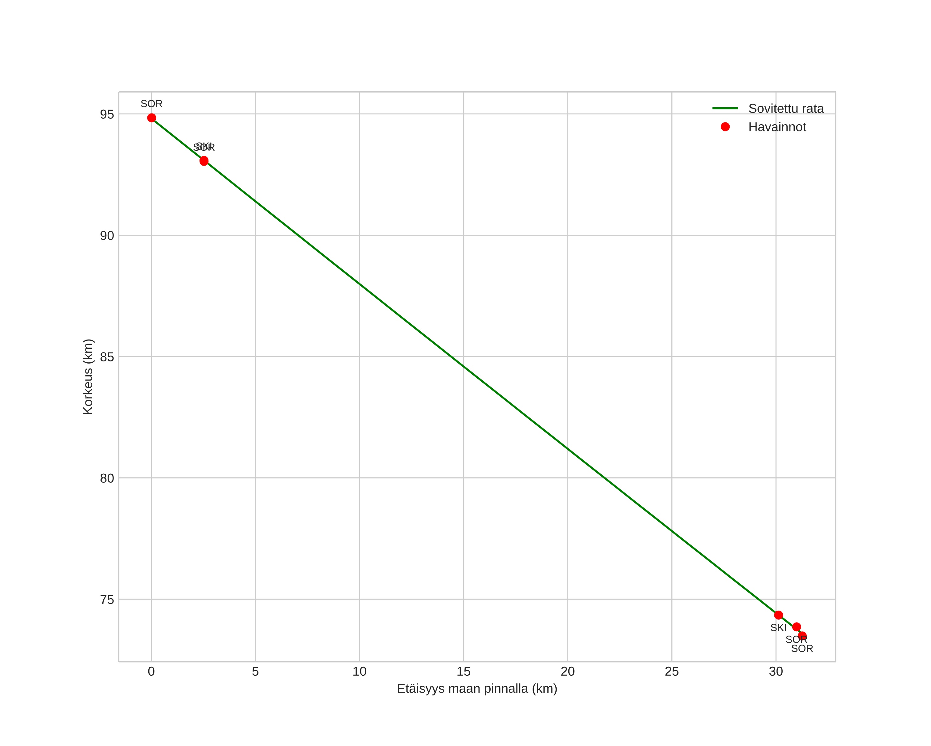
height profile
Meteorin ilmakehärata:
Alkukorkeus: 94,7 km
Loppukorkeus: 73,2 km
Alkupiste: 68,344N 21,376E
Loppupiste: 68,324N 20,613E
Suunta: 266,4°
Kallistuskulma: 34,4°
Tulonopeus: 38,6 km/s
Radiantin R,A,: 07:25 (111,3°)
Radiantin Dekl,: 32,0°
Meteoriparvi: Geminidit
Meteoroidin rataelementit:
Perihelietäisyys: 0,139 AU
Eksentrisyys: 0,924
Inklinaatio: 23,7°
Nousevan solmun pituus: 262,2°
Perihelin argumentti: 322,0°
Keskianomalia: 345,8°
Epookki: 2023 DEC 14 19:10:56
orbit plot

Ei-interaktiivinen kuvaaja | Interaktiivinen kuvaaja

position vs time
speed and acceleration

Skibotn (SKI) cam3

gnomonic
Videot:
• Alkuperäinen
Kuvat:
• Alkuperäinen
Tekstitiedostot:
• Havaintoraportti
• Observaatio
• Koordinaatit
• Virheilmoitukset
• Loki
Kirkkaus