🇳🇴 🇬🇧 🇩🇪 🇨🇿 🇫🇮

Meteor über Kiruna 2023-12-14 19:10:56 UTC

KML-Datei  |  Interaktive Karte

Die Karte zeigt die Peilungen für den Meteor. Die helleren Linien zeigen die Richtungen von den Beobachtungsorten beim Erscheinen des Meteors, und die dunkleren Linien, wo er zuletzt gesehen wurde. Der blaue Pfeil zeigt die sichtbare Bahn des Meteors.

static map
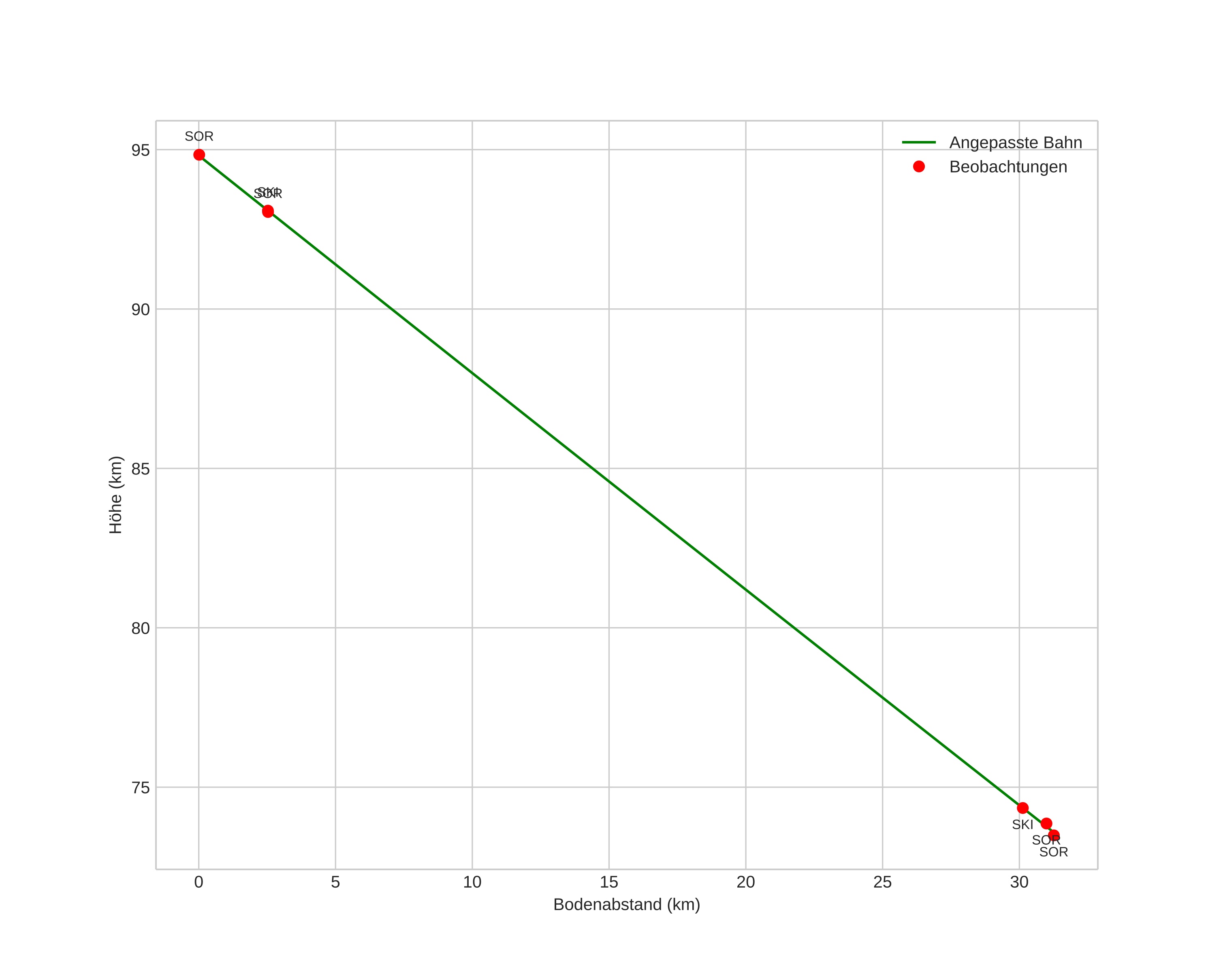
height profile
Atmosphärische Bahn des Meteors:
Anfangshöhe: 94,7 km
Endhöhe: 73,2 km
Startposition: 68,344N 21,376E
Endposition: 68,324N 20,613E
Richtung: 266,4°
Neigungswinkel: 34,4°
Eintrittsgeschwindigkeit: 38,6 km/s
Rektaszension des Radianten: 07:25 (111,3°)
Deklination des Radianten: 32,0°
Meteorstrom: Geminiden
Bahnelemente des Meteoroiden:
Periheldistanz: 0,139 AU
Exzentrizität: 0,924
Inklination: 23,7°
Länge des aufsteigenden Knotens: 262,2°
Argument des Perihels: 322,0°
Mittlere Anomalie: 345,8°
Epoche: 2023 DEC 14 19:10:56
orbit plot

Nicht-interaktives Diagramm | Interaktives Diagramm

position vs time
speed and acceleration

Skibotn (SKI) cam3

gnomonic
Videos
• Original
Bilder
• Original
Textdateien
• Erkennung
• Beobachtung
• Koordinaten
• Fehlermeldungen
• Protokoll
Helligkeit