🇳🇴 🇬🇧 🇩🇪 🇨🇿 🇫🇮

Meteor, poloha: Røst 2023-12-14 19:21:57 UTC

Soubor KML  |  InteraktivnĂ­ mapa

Mapa zobrazuje dráhy meteoru. Světlejší čáry ukazují směry od pozorovacích stanic při objevení se meteoru a tmavší čáry, kde byl naposledy viděn. Modrá šipka značí viditelnou dráhu meteoru.

static map
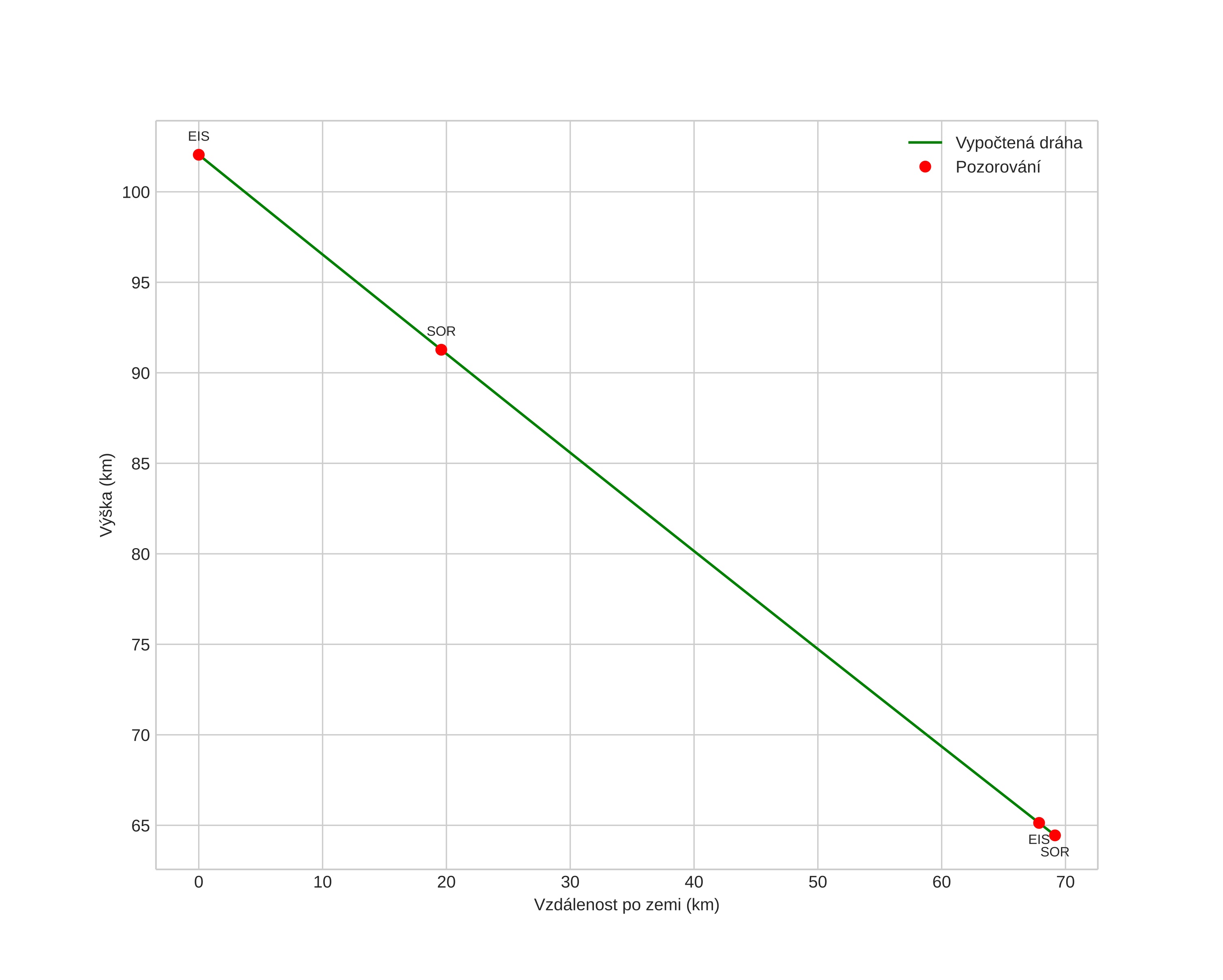
height profile
Atmosférická dráha meteoru:
Počáteční výška: 100,0 km
Konečná výška: 65,1 km
Počáteční poloha: 67,754N 12,793E
Konečná poloha: 67,575N 11,128E
Směr: 255,0°
Sklon: 25,5°
VstupnĂ­ rychlost: 41,9 km/s
Rektascenze radiantu: 08:00 (120,1°)
Deklinace radiantu: 28,1°
MeteorickĂ˝ roj: Geminidy
Elementy dráhy meteoroidu:
Vzdálenost v periheliu: 0,049 AU
Excentricita: 0,966
Sklon dráhy: 33,7°
Délka vzestupného uzlu: 262,2°
Argument perihelia: 339,1°
Střední anomálie: 341,5°
Epocha: 2023 DEC 14 19:21:57
orbit plot

NeinteraktivnĂ­ graf | InteraktivnĂ­ graf

position vs time
speed and acceleration