🇳🇴 🇬🇧 🇩🇪 🇨🇿 🇫🇮

Meteor über Røst 2023-12-14 19:21:57 UTC

KML-Datei  |  Interaktive Karte

Die Karte zeigt die Peilungen für den Meteor. Die helleren Linien zeigen die Richtungen von den Beobachtungsorten beim Erscheinen des Meteors, und die dunkleren Linien, wo er zuletzt gesehen wurde. Der blaue Pfeil zeigt die sichtbare Bahn des Meteors.

static map
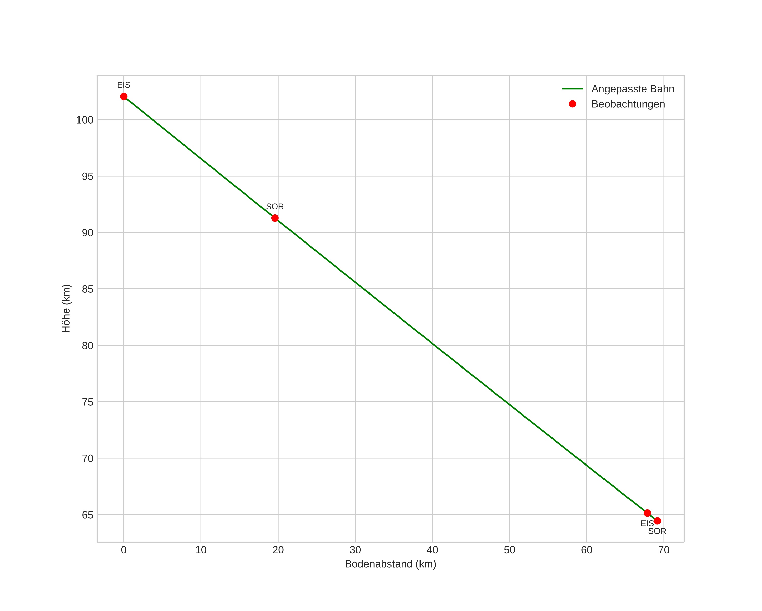
height profile
Atmosphärische Bahn des Meteors:
Anfangshöhe: 100,0 km
Endhöhe: 65,1 km
Startposition: 67,754N 12,793E
Endposition: 67,575N 11,128E
Richtung: 255,0°
Neigungswinkel: 25,5°
Eintrittsgeschwindigkeit: 41,9 km/s
Rektaszension des Radianten: 08:00 (120,1°)
Deklination des Radianten: 28,1°
Meteorstrom: Geminiden
Bahnelemente des Meteoroiden:
Periheldistanz: 0,049 AU
Exzentrizität: 0,966
Inklination: 33,7°
Länge des aufsteigenden Knotens: 262,2°
Argument des Perihels: 339,1°
Mittlere Anomalie: 341,5°
Epoche: 2023 DEC 14 19:21:57
orbit plot

Nicht-interaktives Diagramm | Interaktives Diagramm

position vs time
speed and acceleration