🇳🇴 🇬🇧 🇩🇪 🇨🇿 🇫🇮

Meteor Røstin yllä 2023-12-14 19:21:57 UTC

KML-tiedosto  |  Interaktiivinen kartta

Kartta näyttää meteorin suuntahavainnot. Vaaleammat viivat näyttävät suunnat havaintoasemilta meteorin ilmestyessä, ja tummemmat viivat näyttävät, missä se viimeksi nähtiin. Sininen nuoli näyttää meteorin näkyvän lennon.

static map
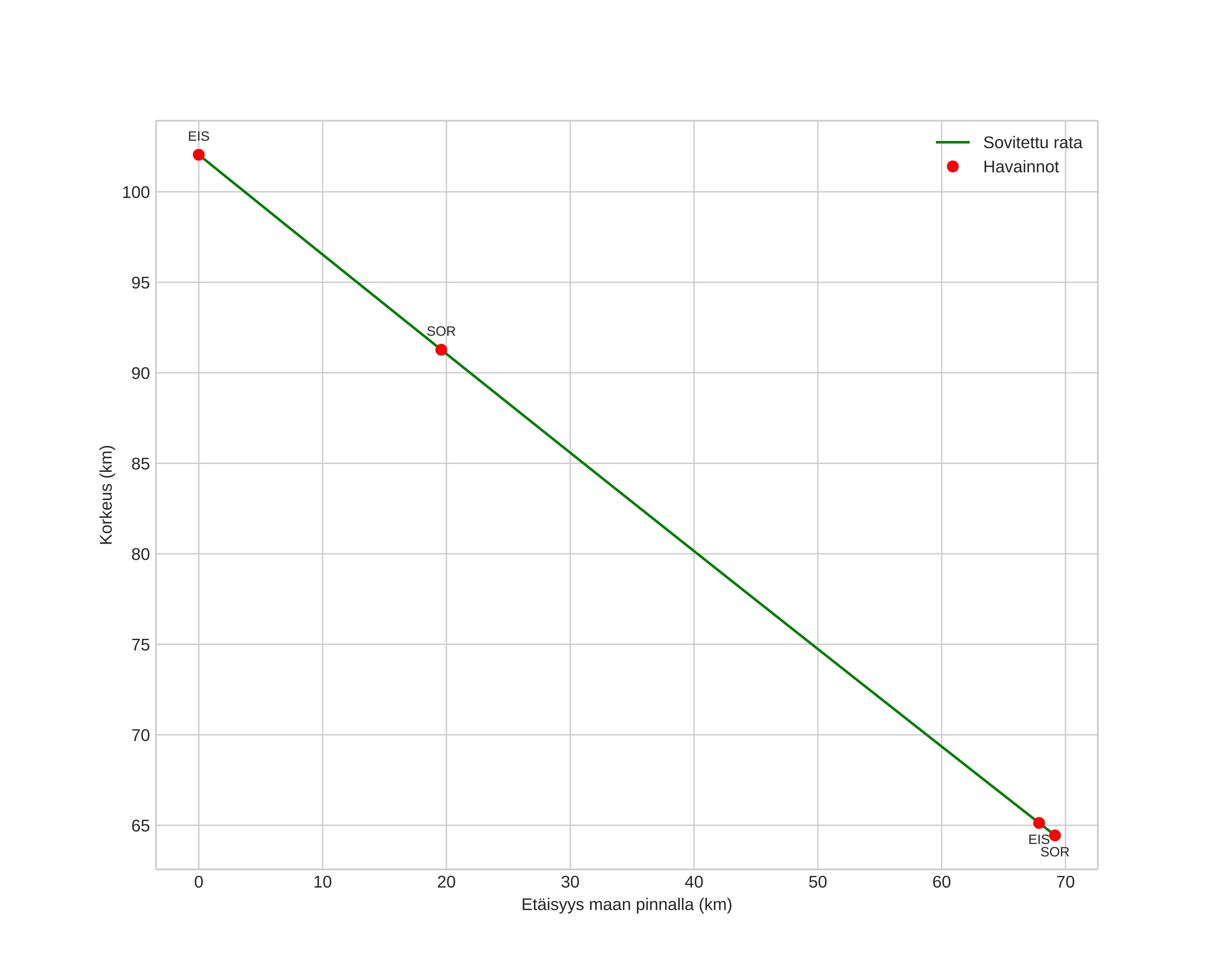
height profile
Meteorin ilmakehärata:
Alkukorkeus: 100,0 km
Loppukorkeus: 65,1 km
Alkupiste: 67,754N 12,793E
Loppupiste: 67,575N 11,128E
Suunta: 255,0°
Kallistuskulma: 25,5°
Tulonopeus: 41,9 km/s
Radiantin R,A,: 08:00 (120,1°)
Radiantin Dekl,: 28,1°
Meteoriparvi: Geminidit
Meteoroidin rataelementit:
Perihelietäisyys: 0,049 AU
Eksentrisyys: 0,966
Inklinaatio: 33,7°
Nousevan solmun pituus: 262,2°
Perihelin argumentti: 339,1°
Keskianomalia: 341,5°
Epookki: 2023 DEC 14 19:21:57
orbit plot

Ei-interaktiivinen kuvaaja | Interaktiivinen kuvaaja

position vs time
speed and acceleration