🇳🇴 🇬🇧 🇩🇪 🇨🇿 🇫🇮

Meteor, poloha: Storslett 2023-12-15 01:08:26 UTC

Soubor KML  |  InteraktivnĂ­ mapa

Mapa zobrazuje dráhy meteoru. Světlejší čáry ukazují směry od pozorovacích stanic při objevení se meteoru a tmavší čáry, kde byl naposledy viděn. Modrá šipka značí viditelnou dráhu meteoru.

static map
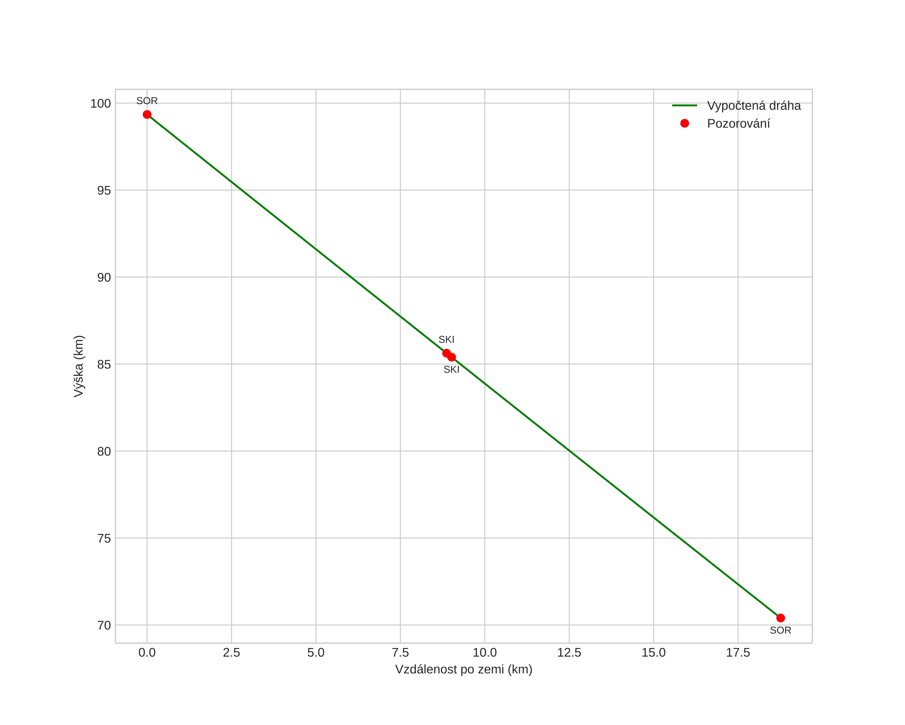
height profile
Atmosférická dráha meteoru:
Počáteční výška: 99,3 km
Konečná výška: 70,9 km
Počáteční poloha: 69,209N 21,284E
Konečná poloha: 69,382N 21,308E
Směr: 2,8°
Sklon: 55,9°
VstupnĂ­ rychlost: 52,9 km/s
Rektascenze radiantu: 07:56 (119,2°)
Deklinace radiantu: 34,7°
MeteorickĂ˝ roj: sporadickĂ˝
Elementy dráhy meteoroidu:
Vzdálenost v periheliu: 0,089 AU
Excentricita: 1,020
Sklon dráhy: 73,3°
Délka vzestupného uzlu: 262,4°
Argument perihelia: 323,3°
Střední anomálie: -3,0°
Epocha: 2023 DEC 15 01:08:26
orbit plot

NeinteraktivnĂ­ graf | InteraktivnĂ­ graf

position vs time
speed and acceleration