🇳🇴 🇬🇧 🇩🇪 🇨🇿 🇫🇮

Meteor Storslettin yllä 2023-12-15 01:08:26 UTC

KML-tiedosto  |  Interaktiivinen kartta

Kartta näyttää meteorin suuntahavainnot. Vaaleammat viivat näyttävät suunnat havaintoasemilta meteorin ilmestyessä, ja tummemmat viivat näyttävät, missä se viimeksi nähtiin. Sininen nuoli näyttää meteorin näkyvän lennon.

static map
height profile
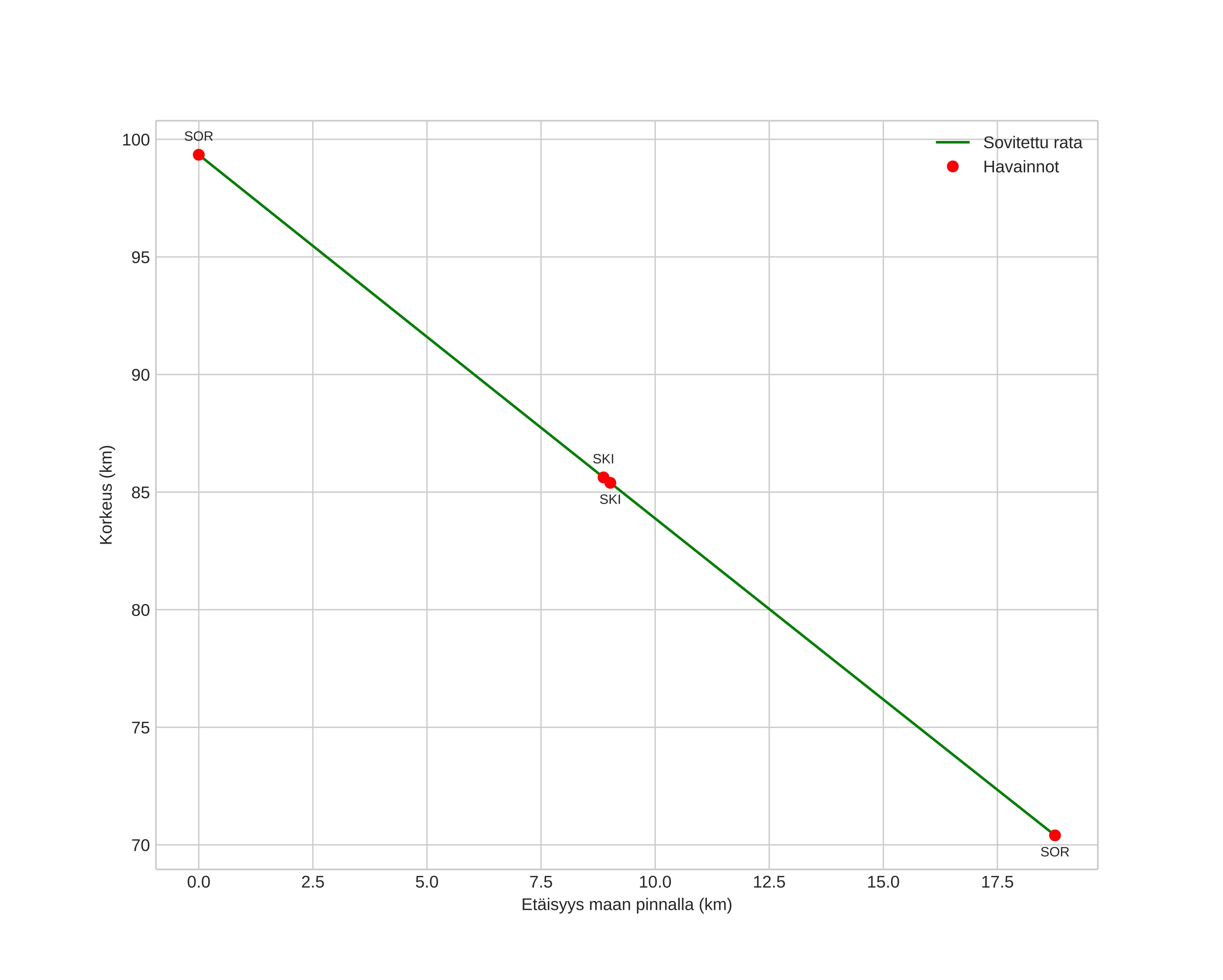
Meteorin ilmakehärata:
Alkukorkeus: 99,3 km
Loppukorkeus: 70,9 km
Alkupiste: 69,209N 21,284E
Loppupiste: 69,382N 21,308E
Suunta: 2,8°
Kallistuskulma: 55,9°
Tulonopeus: 52,9 km/s
Radiantin R,A,: 07:56 (119,2°)
Radiantin Dekl,: 34,7°
Meteoriparvi: Sporadinen
Meteoroidin rataelementit:
Perihelietäisyys: 0,089 AU
Eksentrisyys: 1,020
Inklinaatio: 73,3°
Nousevan solmun pituus: 262,4°
Perihelin argumentti: 323,3°
Keskianomalia: -3,0°
Epookki: 2023 DEC 15 01:08:26
orbit plot

Ei-interaktiivinen kuvaaja | Interaktiivinen kuvaaja

position vs time
speed and acceleration