🇳🇴 🇬🇧 🇩🇪 🇨🇿 🇫🇮

Meteor über Storslett 2023-12-15 01:08:26 UTC

KML-Datei  |  Interaktive Karte

Die Karte zeigt die Peilungen für den Meteor. Die helleren Linien zeigen die Richtungen von den Beobachtungsorten beim Erscheinen des Meteors, und die dunkleren Linien, wo er zuletzt gesehen wurde. Der blaue Pfeil zeigt die sichtbare Bahn des Meteors.

static map
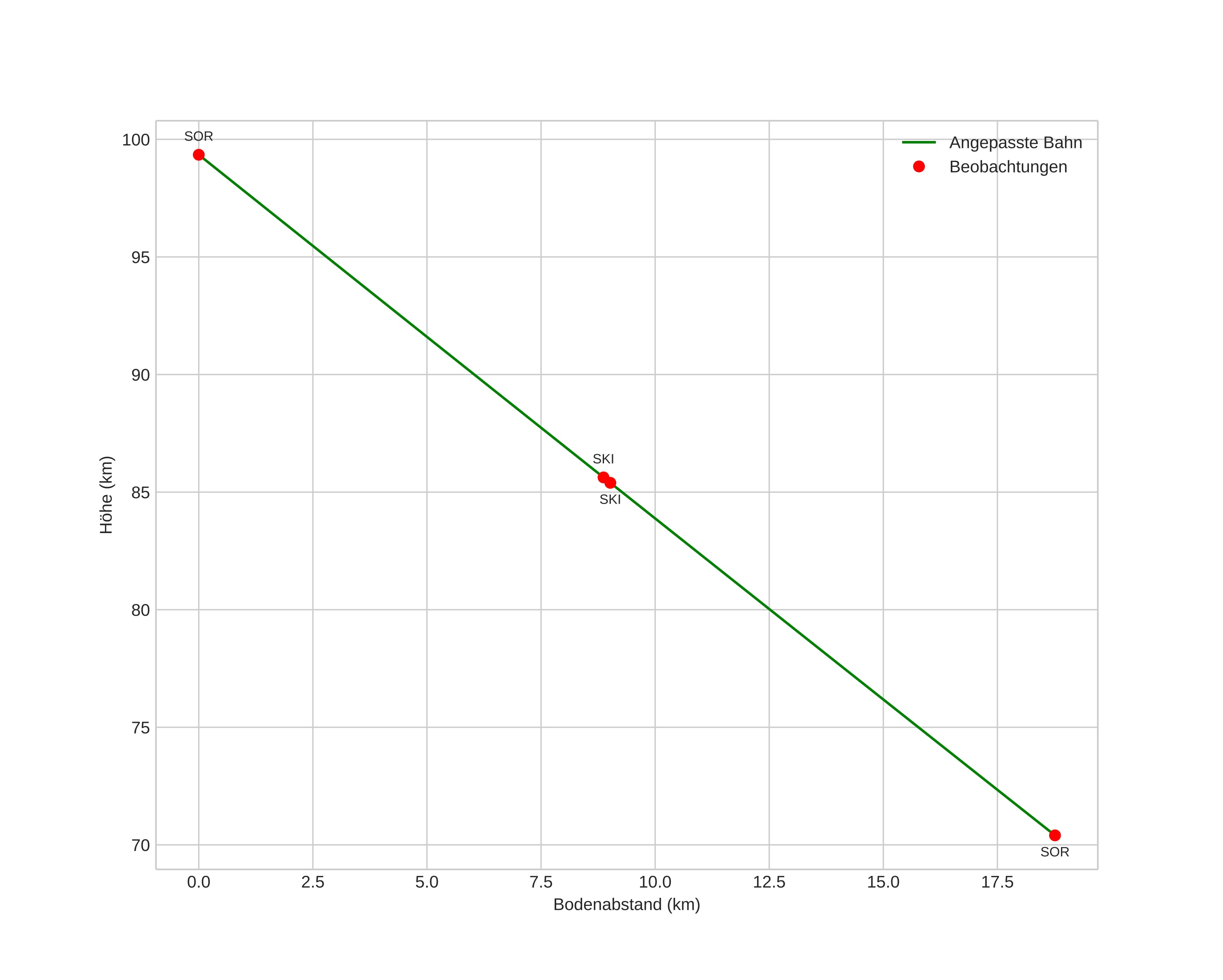
height profile
Atmosphärische Bahn des Meteors:
Anfangshöhe: 99,3 km
Endhöhe: 70,9 km
Startposition: 69,209N 21,284E
Endposition: 69,382N 21,308E
Richtung: 2,8°
Neigungswinkel: 55,9°
Eintrittsgeschwindigkeit: 52,9 km/s
Rektaszension des Radianten: 07:56 (119,2°)
Deklination des Radianten: 34,7°
Meteorstrom: sporadisch
Bahnelemente des Meteoroiden:
Periheldistanz: 0,089 AU
Exzentrizität: 1,020
Inklination: 73,3°
Länge des aufsteigenden Knotens: 262,4°
Argument des Perihels: 323,3°
Mittlere Anomalie: -3,0°
Epoche: 2023 DEC 15 01:08:26
orbit plot

Nicht-interaktives Diagramm | Interaktives Diagramm

position vs time
speed and acceleration