🇳🇴 🇬🇧 🇩🇪 🇨🇿 🇫🇮

Meteor, poloha: Moen 2023-12-22 03:25:39 UTC

Soubor KML  |  InteraktivnĂ­ mapa

Mapa zobrazuje dráhy meteoru. Světlejší čáry ukazují směry od pozorovacích stanic při objevení se meteoru a tmavší čáry, kde byl naposledy viděn. Modrá šipka značí viditelnou dráhu meteoru.

static map
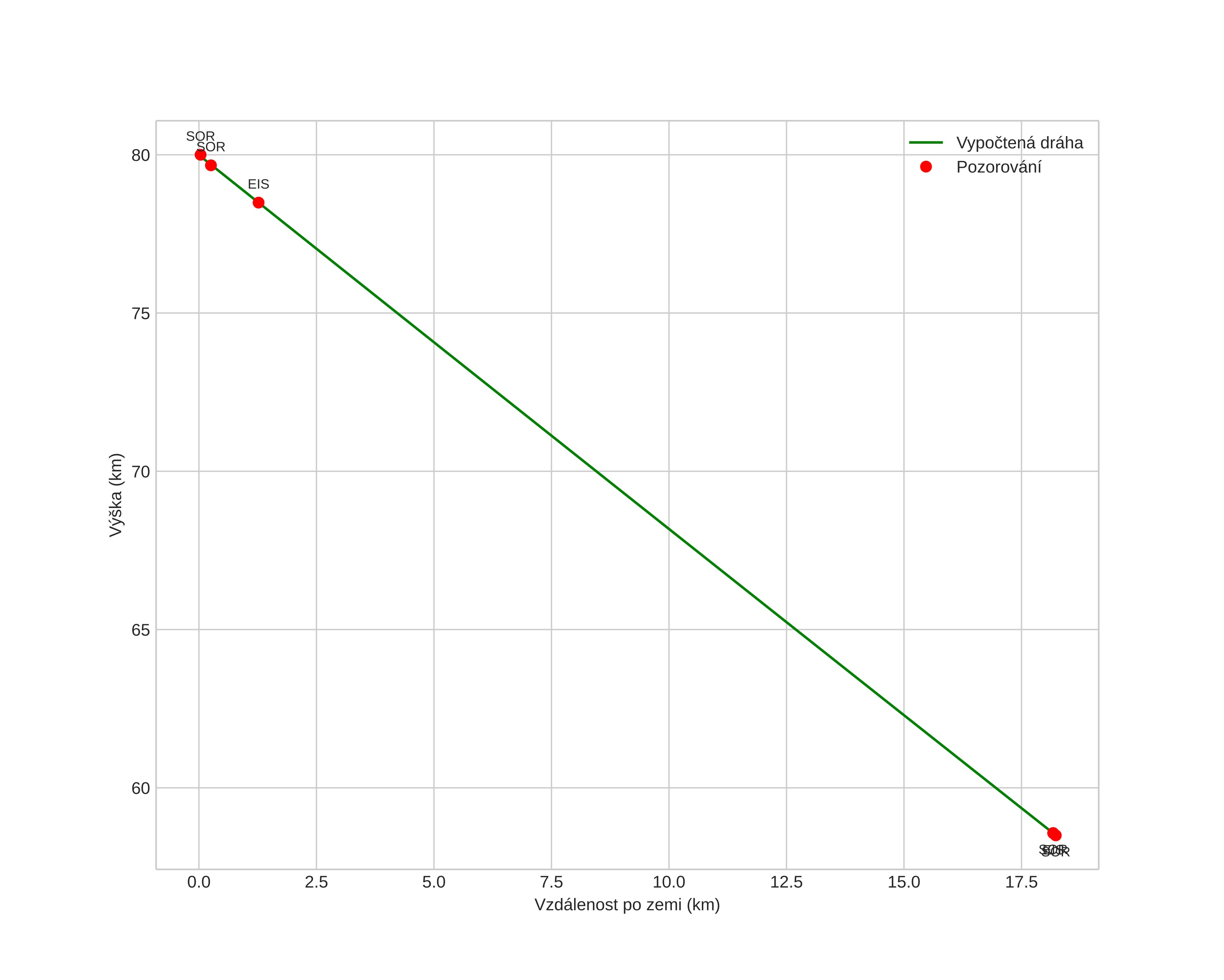
height profile
Atmosférická dráha meteoru:
Počáteční výška: 83,8 km
Konečná výška: 59,0 km
Počáteční poloha: 68,714N 18,461E
Konečná poloha: 68,633N 18,915E
Směr: 116,0°
Sklon: 50,5°
VstupnĂ­ rychlost: 19,8 km/s
Rektascenze radiantu: 04:33 (68,5°)
Deklinace radiantu: 51,4°
MeteorickĂ˝ roj: sporadickĂ˝
Elementy dráhy meteoroidu:
Vzdálenost v periheliu: 0,807 AU
Excentricita: 0,648
Sklon dráhy: 13,3°
Délka vzestupného uzlu: 269,7°
Argument perihelia: 237,2°
Střední anomálie: 349,3°
Epocha: 2023 DEC 22 03:25:39
orbit plot

NeinteraktivnĂ­ graf | InteraktivnĂ­ graf

position vs time
speed and acceleration