🇳🇴 🇬🇧 🇩🇪 🇨🇿 🇫🇮

Meteor Moenin yllä 2023-12-22 03:25:39 UTC

KML-tiedosto  |  Interaktiivinen kartta

Kartta näyttää meteorin suuntahavainnot. Vaaleammat viivat näyttävät suunnat havaintoasemilta meteorin ilmestyessä, ja tummemmat viivat näyttävät, missä se viimeksi nähtiin. Sininen nuoli näyttää meteorin näkyvän lennon.

static map
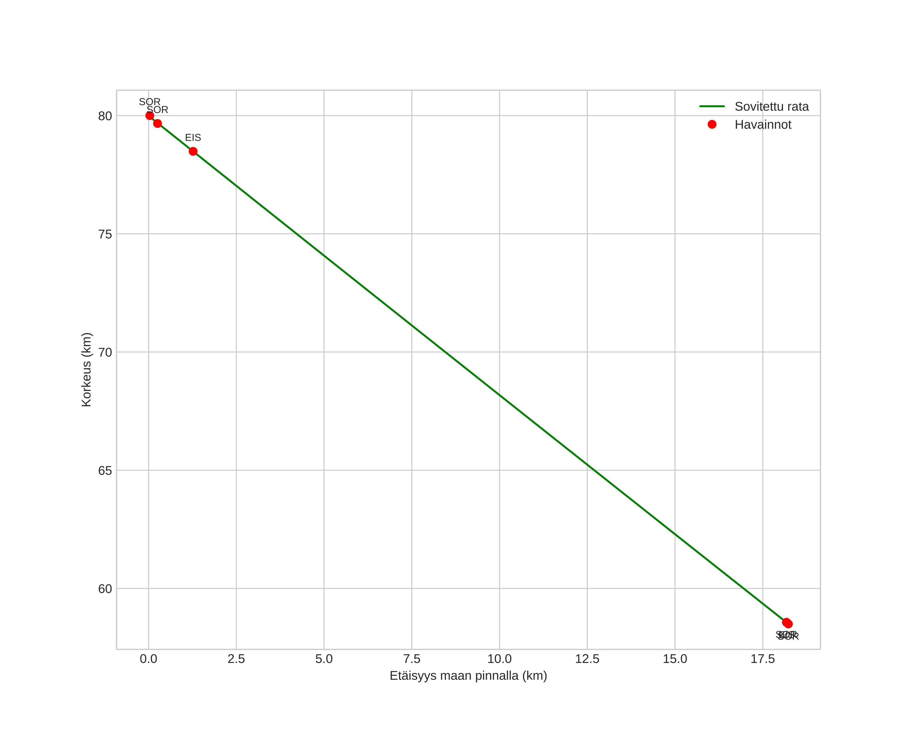
height profile
Meteorin ilmakehärata:
Alkukorkeus: 83,8 km
Loppukorkeus: 59,0 km
Alkupiste: 68,714N 18,461E
Loppupiste: 68,633N 18,915E
Suunta: 116,0°
Kallistuskulma: 50,5°
Tulonopeus: 19,8 km/s
Radiantin R,A,: 04:33 (68,5°)
Radiantin Dekl,: 51,4°
Meteoriparvi: Sporadinen
Meteoroidin rataelementit:
Perihelietäisyys: 0,807 AU
Eksentrisyys: 0,648
Inklinaatio: 13,3°
Nousevan solmun pituus: 269,7°
Perihelin argumentti: 237,2°
Keskianomalia: 349,3°
Epookki: 2023 DEC 22 03:25:39
orbit plot

Ei-interaktiivinen kuvaaja | Interaktiivinen kuvaaja

position vs time
speed and acceleration