🇳🇴 🇬🇧 🇩🇪 🇨🇿 🇫🇮

Meteor über Moen 2023-12-22 03:25:39 UTC

KML-Datei  |  Interaktive Karte

Die Karte zeigt die Peilungen für den Meteor. Die helleren Linien zeigen die Richtungen von den Beobachtungsorten beim Erscheinen des Meteors, und die dunkleren Linien, wo er zuletzt gesehen wurde. Der blaue Pfeil zeigt die sichtbare Bahn des Meteors.

static map
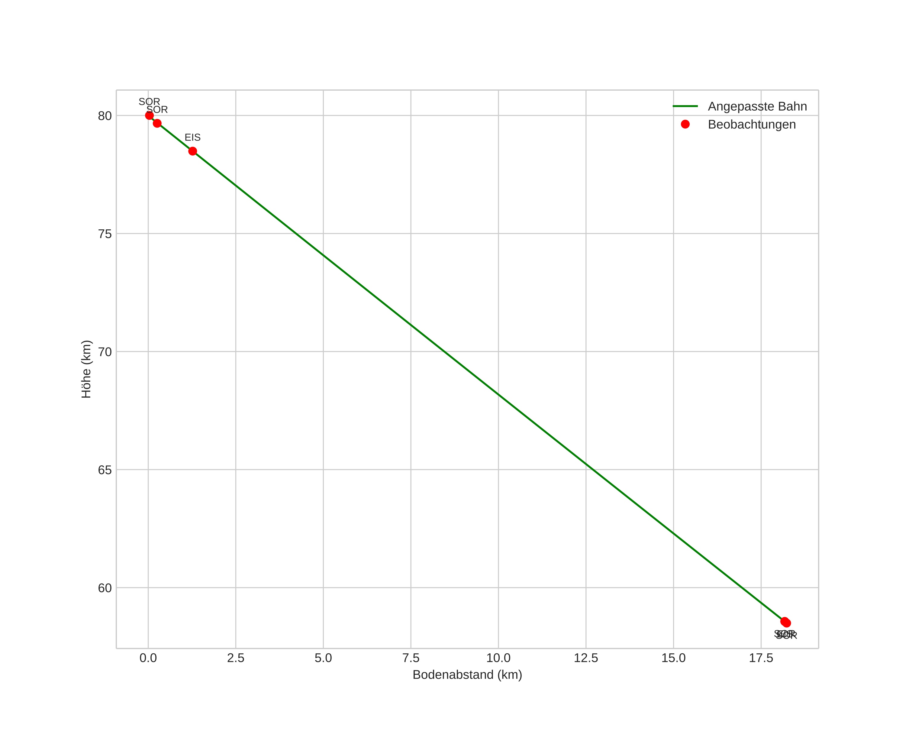
height profile
Atmosphärische Bahn des Meteors:
Anfangshöhe: 83,8 km
Endhöhe: 59,0 km
Startposition: 68,714N 18,461E
Endposition: 68,633N 18,915E
Richtung: 116,0°
Neigungswinkel: 50,5°
Eintrittsgeschwindigkeit: 19,8 km/s
Rektaszension des Radianten: 04:33 (68,5°)
Deklination des Radianten: 51,4°
Meteorstrom: sporadisch
Bahnelemente des Meteoroiden:
Periheldistanz: 0,807 AU
Exzentrizität: 0,648
Inklination: 13,3°
Länge des aufsteigenden Knotens: 269,7°
Argument des Perihels: 237,2°
Mittlere Anomalie: 349,3°
Epoche: 2023 DEC 22 03:25:39
orbit plot

Nicht-interaktives Diagramm | Interaktives Diagramm

position vs time
speed and acceleration