🇳🇴 🇬🇧 🇩🇪 🇨🇿 🇫🇮

Meteor, poloha: AllingĂĄbro 2023-12-23 21:56:19 UTC

Soubor KML  |  InteraktivnĂ­ mapa

Mapa zobrazuje dráhy meteoru. Světlejší čáry ukazují směry od pozorovacích stanic při objevení se meteoru a tmavší čáry, kde byl naposledy viděn. Modrá šipka značí viditelnou dráhu meteoru.

static map
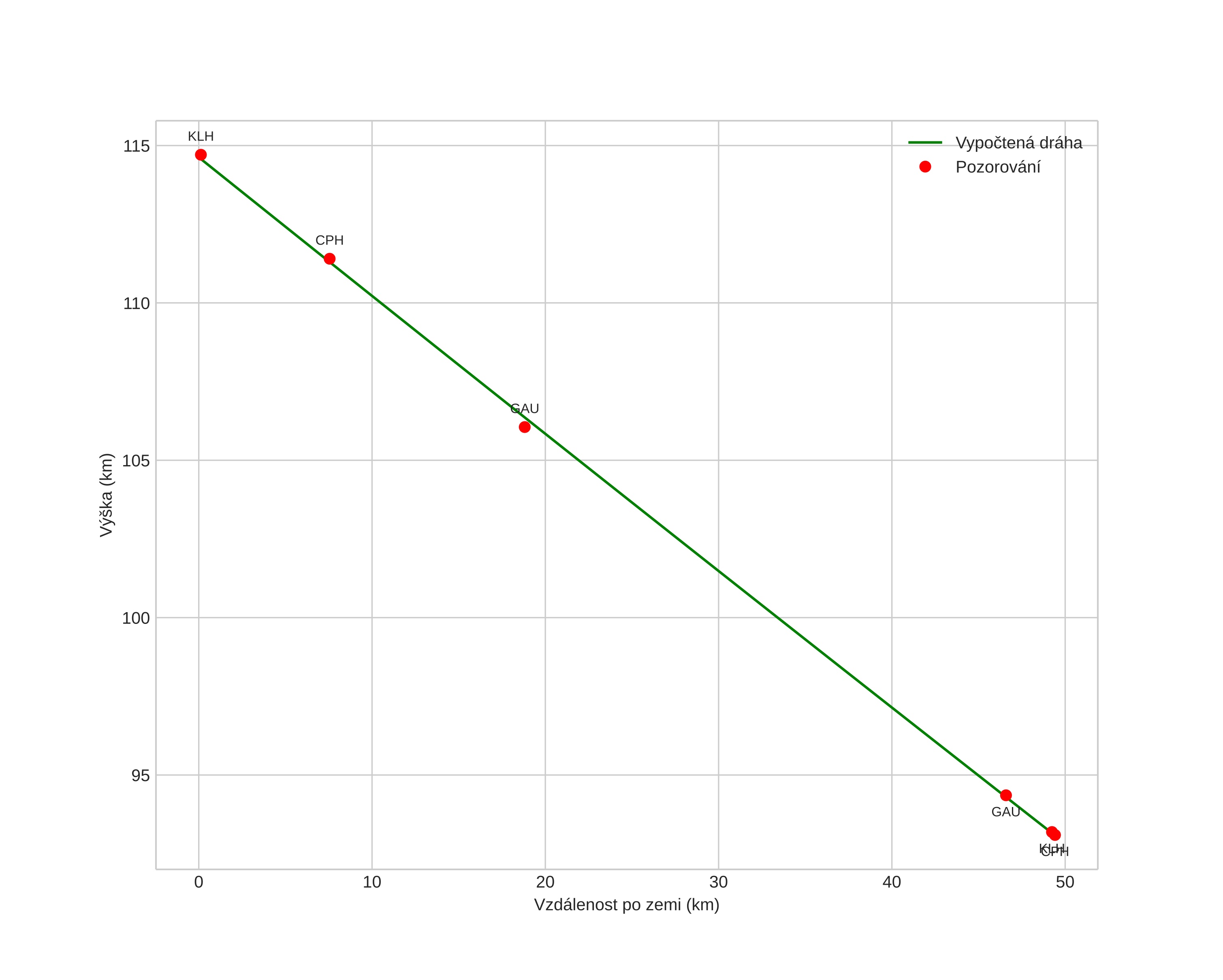
height profile
Atmosférická dráha meteoru:
Počáteční výška: 114,6 km
Konečná výška: 93,1 km
Počáteční poloha: 56,729N 11,037E
Konečná poloha: 56,581N 10,275E
Směr: 250,8°
Sklon: 23,5°
VstupnĂ­ rychlost: 64,9 km/s
Rektascenze radiantu: 10:57 (164,4°)
Deklinace radiantu: 29,7°
MeteorickĂ˝ roj: desember-leonis-minoridene
Elementy dráhy meteoroidu:
Vzdálenost v periheliu: 0,563 AU
Excentricita: 0,996
Sklon dráhy: 134,2°
Délka vzestupného uzlu: 271,5°
Argument perihelia: 261,8°
Střední anomálie: 360,0°
Epocha: 2023 DEC 23 21:56:19
orbit plot

NeinteraktivnĂ­ graf | InteraktivnĂ­ graf

position vs time
speed and acceleration