🇳🇴 🇬🇧 🇩🇪 🇨🇿 🇫🇮

Meteor Allingåbron yllä 2023-12-23 21:56:19 UTC

KML-tiedosto  |  Interaktiivinen kartta

Kartta näyttää meteorin suuntahavainnot. Vaaleammat viivat näyttävät suunnat havaintoasemilta meteorin ilmestyessä, ja tummemmat viivat näyttävät, missä se viimeksi nähtiin. Sininen nuoli näyttää meteorin näkyvän lennon.

static map
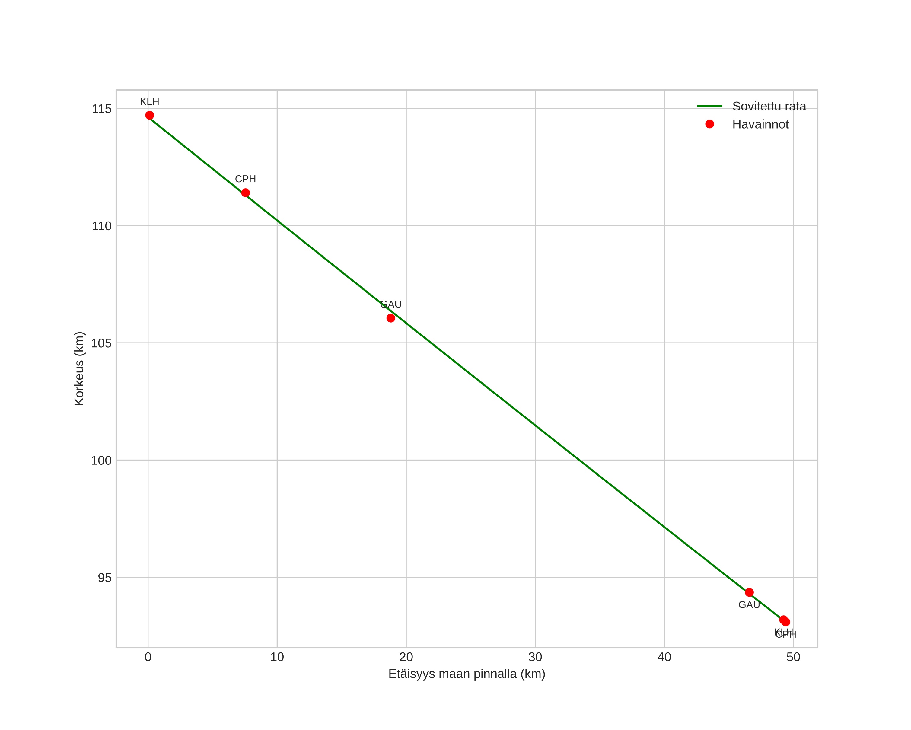
height profile
Meteorin ilmakehärata:
Alkukorkeus: 114,6 km
Loppukorkeus: 93,1 km
Alkupiste: 56,729N 11,037E
Loppupiste: 56,581N 10,275E
Suunta: 250,8°
Kallistuskulma: 23,5°
Tulonopeus: 64,9 km/s
Radiantin R,A,: 10:57 (164,4°)
Radiantin Dekl,: 29,7°
Meteoriparvi: desember-leonis-minoridene
Meteoroidin rataelementit:
Perihelietäisyys: 0,563 AU
Eksentrisyys: 0,996
Inklinaatio: 134,2°
Nousevan solmun pituus: 271,5°
Perihelin argumentti: 261,8°
Keskianomalia: 360,0°
Epookki: 2023 DEC 23 21:56:19
orbit plot

Ei-interaktiivinen kuvaaja | Interaktiivinen kuvaaja

position vs time
speed and acceleration