🇳🇴 🇬🇧 🇩🇪 🇨🇿 🇫🇮

Meteor über Allingåbro 2023-12-23 21:56:19 UTC

KML-Datei  |  Interaktive Karte

Die Karte zeigt die Peilungen für den Meteor. Die helleren Linien zeigen die Richtungen von den Beobachtungsorten beim Erscheinen des Meteors, und die dunkleren Linien, wo er zuletzt gesehen wurde. Der blaue Pfeil zeigt die sichtbare Bahn des Meteors.

static map
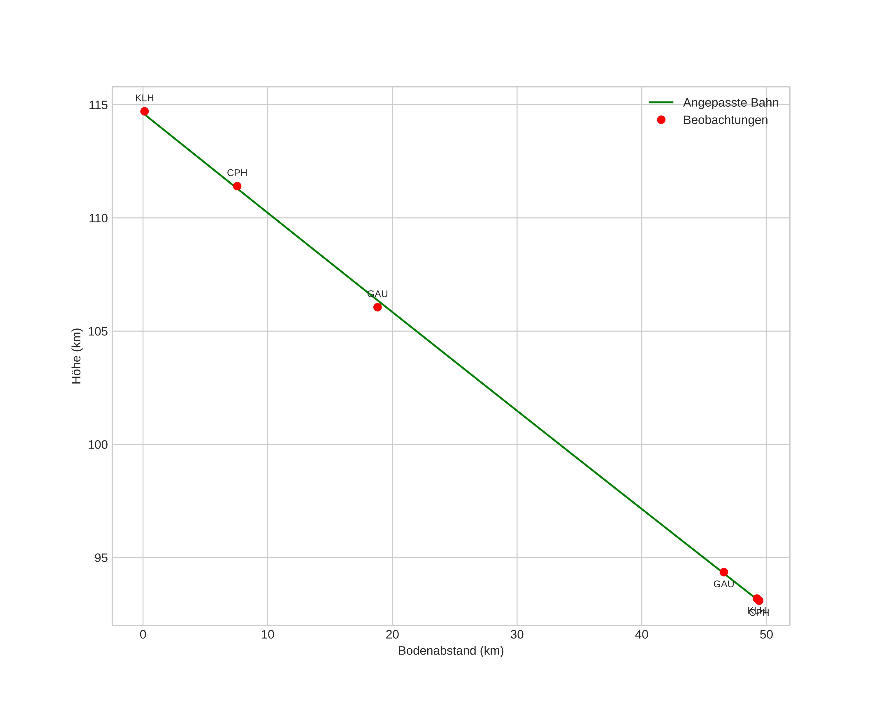
height profile
Atmosphärische Bahn des Meteors:
Anfangshöhe: 114,6 km
Endhöhe: 93,1 km
Startposition: 56,729N 11,037E
Endposition: 56,581N 10,275E
Richtung: 250,8°
Neigungswinkel: 23,5°
Eintrittsgeschwindigkeit: 64,9 km/s
Rektaszension des Radianten: 10:57 (164,4°)
Deklination des Radianten: 29,7°
Meteorstrom: desember-leonis-minoridene
Bahnelemente des Meteoroiden:
Periheldistanz: 0,563 AU
Exzentrizität: 0,996
Inklination: 134,2°
Länge des aufsteigenden Knotens: 271,5°
Argument des Perihels: 261,8°
Mittlere Anomalie: 360,0°
Epoche: 2023 DEC 23 21:56:19
orbit plot

Nicht-interaktives Diagramm | Interaktives Diagramm

position vs time
speed and acceleration