🇳🇴 🇬🇧 🇩🇪 🇨🇿 🇫🇮

Meteor, poloha: Hatteng 2023-12-31 17:05:59 UTC

Soubor KML  |  InteraktivnĂ­ mapa

Mapa zobrazuje dráhy meteoru. Světlejší čáry ukazují směry od pozorovacích stanic při objevení se meteoru a tmavší čáry, kde byl naposledy viděn. Modrá šipka značí viditelnou dráhu meteoru.

static map
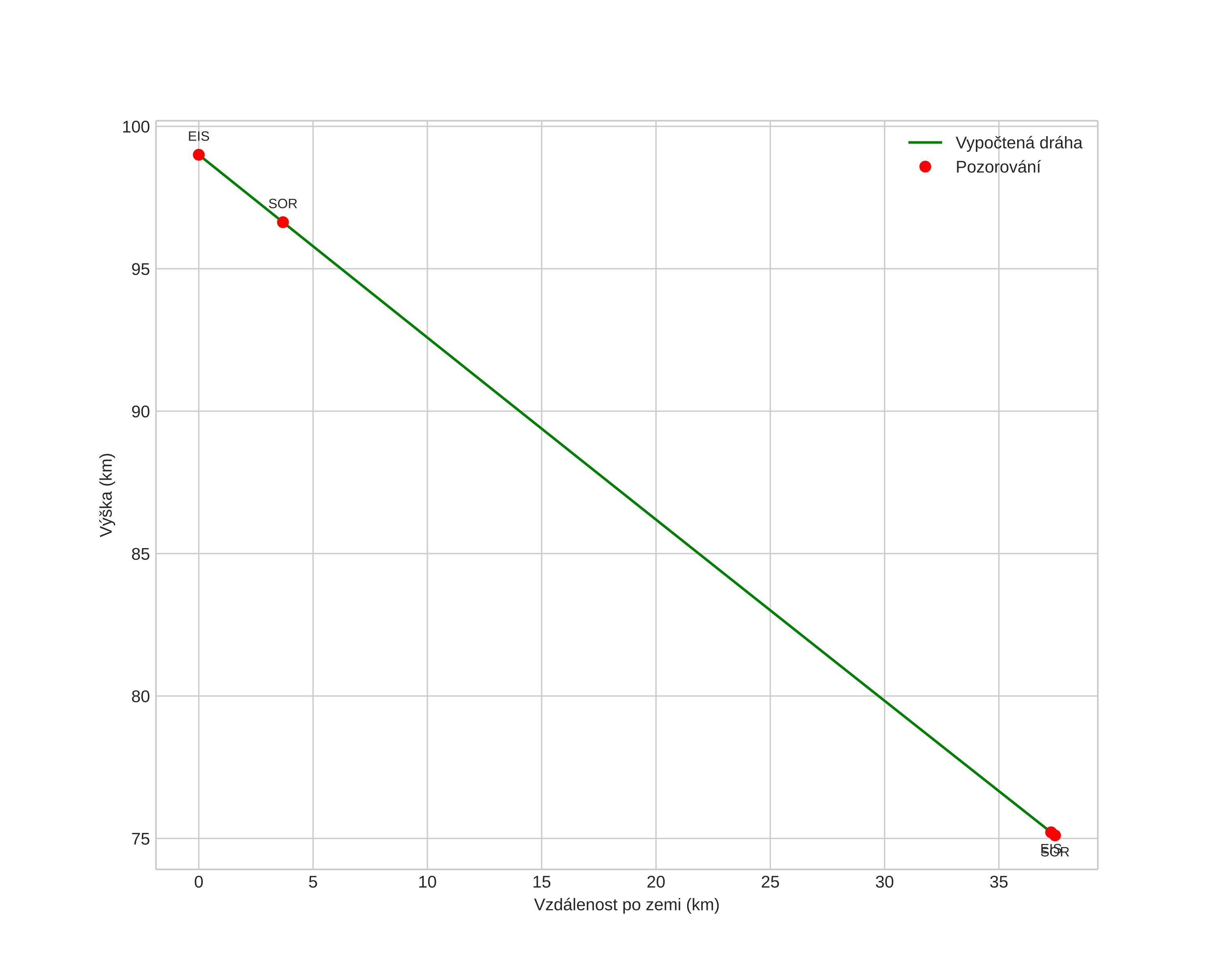
height profile
Atmosférická dráha meteoru:
Počáteční výška: 105,0 km
Konečná výška: 75,1 km
Počáteční poloha: 69,664N 19,609E
Konečná poloha: 69,297N 20,135E
Směr: 153,1°
Sklon: 33,2°
VstupnĂ­ rychlost: 40,8 km/s
Rektascenze radiantu: 15:29 (232,3°)
Deklinace radiantu: 49,5°
MeteorickĂ˝ roj: Kvadrantidy
Elementy dráhy meteoroidu:
Vzdálenost v periheliu: 0,969 AU
Excentricita: 0,627
Sklon dráhy: 68,8°
Délka vzestupného uzlu: 279,4°
Argument perihelia: 164,5°
Střední anomálie: 2,8°
Epocha: 2023 DEC 31 17:05:59
orbit plot

NeinteraktivnĂ­ graf | InteraktivnĂ­ graf

position vs time
speed and acceleration